🇳🇴 🇬🇧 🇩🇪 🇨🇿 🇫🇮

Meteor, poloha: Sæby 2018-09-27 21:38:33 UTC

Soubor KML  |  InteraktivnĂ­ mapa

Mapa zobrazuje dráhy meteoru. Světlejší čáry ukazují směry od pozorovacích stanic při objevení se meteoru a tmavší čáry, kde byl naposledy viděn. Modrá šipka značí viditelnou dráhu meteoru.

static map
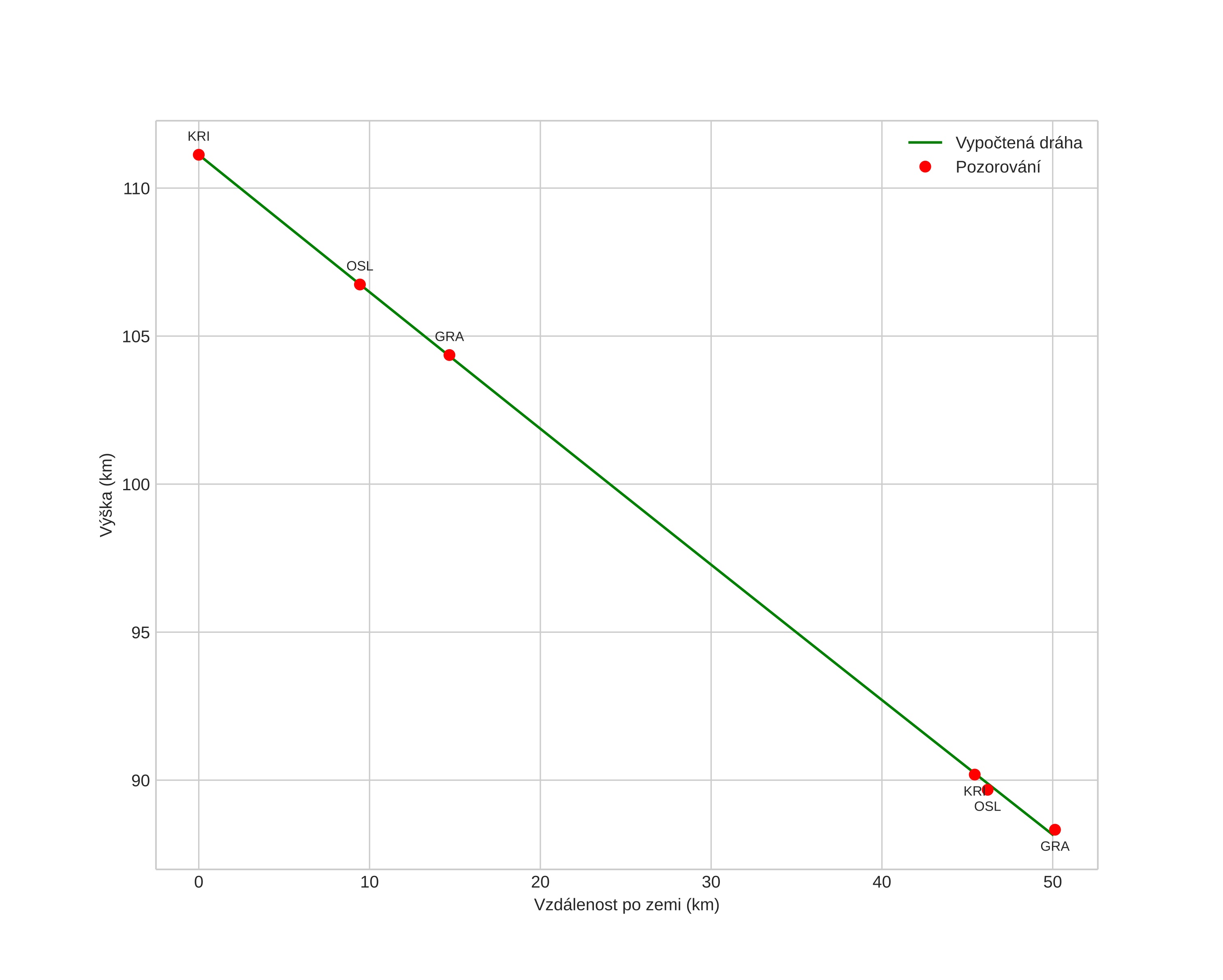
height profile
Atmosférická dráha meteoru:
Počáteční výška: 111,1 km
Konečná výška: 88,1 km
Počáteční poloha: 57,591N 11,244E
Konečná poloha: 57,366N 10,520E
Směr: 240,3°
Sklon: 24,7°
VstupnĂ­ rychlost: 73,0 km/s
Rektascenze radiantu: 05:34 (83,6°)
Deklinace radiantu: 36,2°
MeteorickĂ˝ roj: sporadickĂ˝
Elementy dráhy meteoroidu:
Vzdálenost v periheliu: 0,931 AU
Excentricita: 1,203
Sklon dráhy: 157,9°
Délka vzestupného uzlu: 184,5°
Argument perihelia: 209,6°
Střední anomálie: -1,9°
Epocha: 2018 SEP 27 21:38:33
orbit plot

NeinteraktivnĂ­ graf | InteraktivnĂ­ graf

position vs time
speed and acceleration