🇳🇴 🇬🇧 🇩🇪 🇨🇿 🇫🇮

Meteor Sæbyn yllä 2018-09-27 21:38:33 UTC

KML-tiedosto  |  Interaktiivinen kartta

Kartta näyttää meteorin suuntahavainnot. Vaaleammat viivat näyttävät suunnat havaintoasemilta meteorin ilmestyessä, ja tummemmat viivat näyttävät, missä se viimeksi nähtiin. Sininen nuoli näyttää meteorin näkyvän lennon.

static map
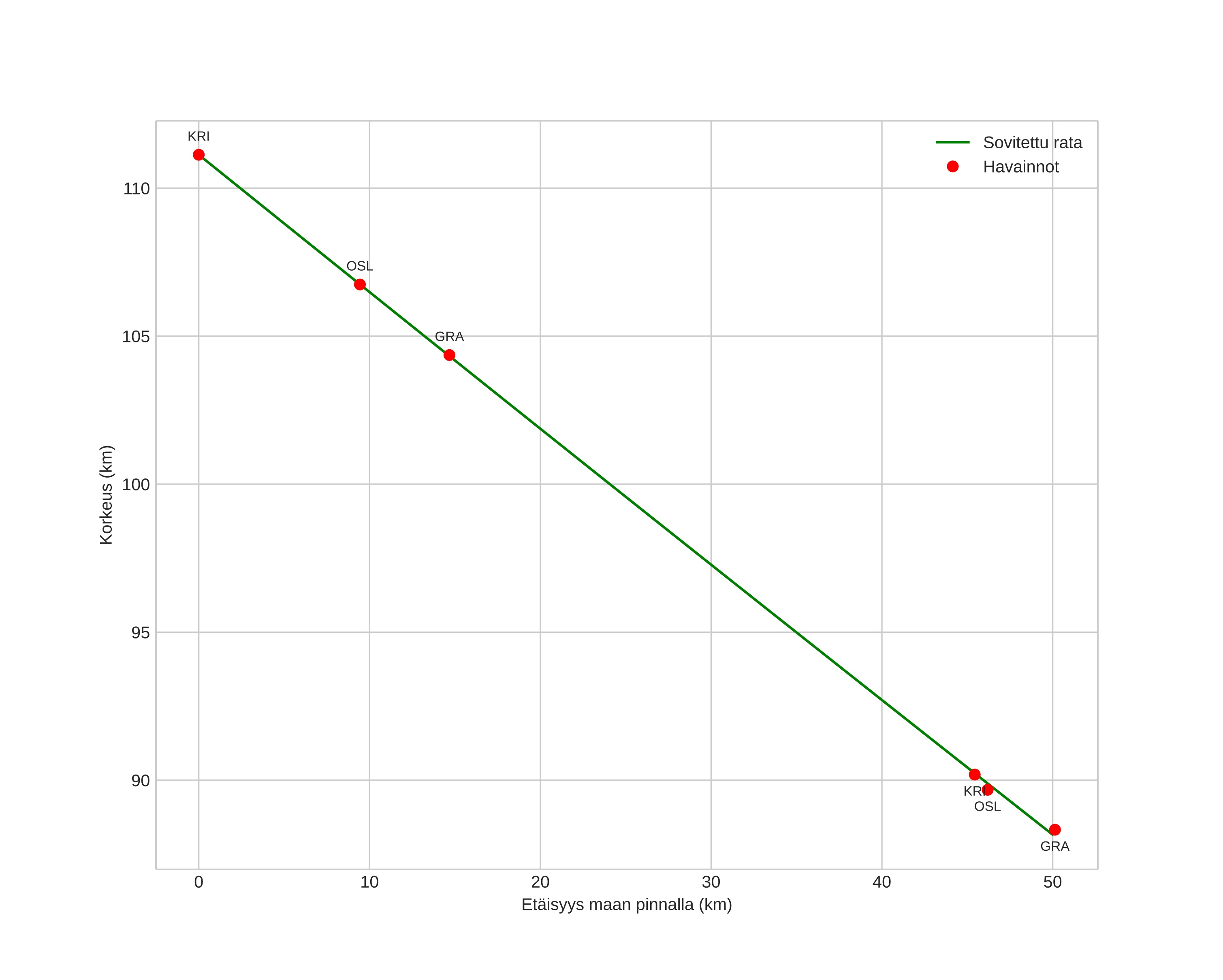
height profile
Meteorin ilmakehärata:
Alkukorkeus: 111,1 km
Loppukorkeus: 88,1 km
Alkupiste: 57,591N 11,244E
Loppupiste: 57,366N 10,520E
Suunta: 240,3°
Kallistuskulma: 24,7°
Tulonopeus: 73,0 km/s
Radiantin R,A,: 05:34 (83,6°)
Radiantin Dekl,: 36,2°
Meteoriparvi: Sporadinen
Meteoroidin rataelementit:
Perihelietäisyys: 0,931 AU
Eksentrisyys: 1,203
Inklinaatio: 157,9°
Nousevan solmun pituus: 184,5°
Perihelin argumentti: 209,6°
Keskianomalia: -1,9°
Epookki: 2018 SEP 27 21:38:33
orbit plot

Ei-interaktiivinen kuvaaja | Interaktiivinen kuvaaja

position vs time
speed and acceleration