🇳🇴 🇬🇧 🇩🇪 🇨🇿 🇫🇮

Meteor, poloha: Träslövsläge 2018-10-10 00:53:43 UTC

Soubor KML  |  InteraktivnĂ­ mapa

Mapa zobrazuje dráhy meteoru. Světlejší čáry ukazují směry od pozorovacích stanic při objevení se meteoru a tmavší čáry, kde byl naposledy viděn. Modrá šipka značí viditelnou dráhu meteoru.

static map
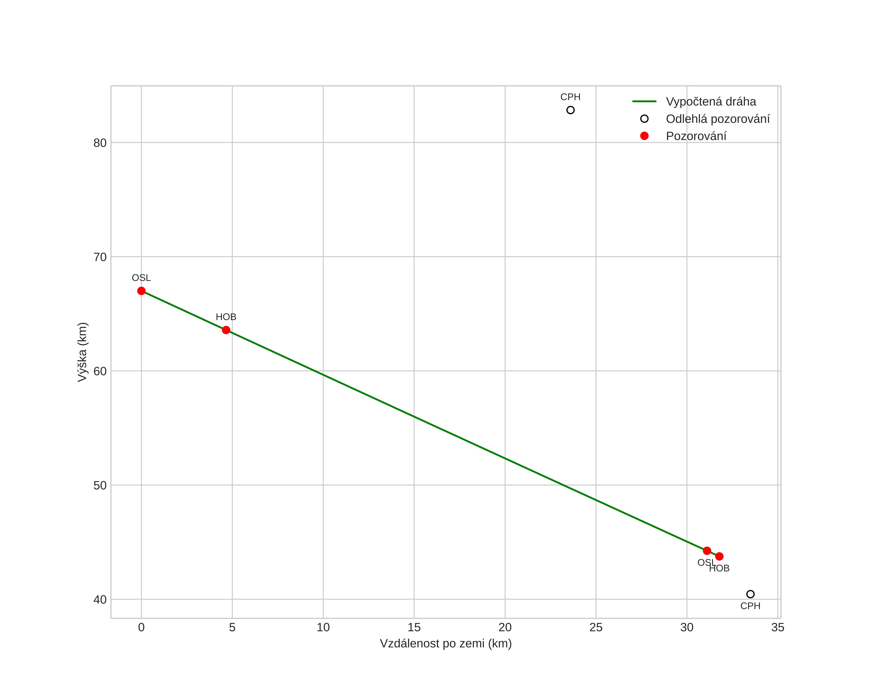
height profile
Atmosférická dráha meteoru:
Počáteční výška: 67,0 km
Konečná výška: 43,8 km
Počáteční poloha: 56,491N 11,421E
Konečná poloha: 56,713N 11,749E
Směr: 39,0°
Sklon: 36,1°
VstupnĂ­ rychlost: 21,1 km/s
Rektascenze radiantu: 00:40 (10,0°)
Deklinace radiantu: 3,8°
MeteorickĂ˝ roj: sporadickĂ˝
Elementy dráhy meteoroidu:
Vzdálenost v periheliu: 0,673 AU
Excentricita: 0,673
Sklon dráhy: 0,3°
Délka vzestupného uzlu: 16,6°
Argument perihelia: 78,9°
Střední anomálie: 344,7°
Epocha: 2018 OCT 10 00:53:43
orbit plot

NeinteraktivnĂ­ graf | InteraktivnĂ­ graf

position vs time
speed and acceleration