🇳🇴 🇬🇧 🇩🇪 🇨🇿 🇫🇮

Meteor Träslövslägen yllä 2018-10-10 00:53:43 UTC

KML-tiedosto  |  Interaktiivinen kartta

Kartta näyttää meteorin suuntahavainnot. Vaaleammat viivat näyttävät suunnat havaintoasemilta meteorin ilmestyessä, ja tummemmat viivat näyttävät, missä se viimeksi nähtiin. Sininen nuoli näyttää meteorin näkyvän lennon.

static map
height profile
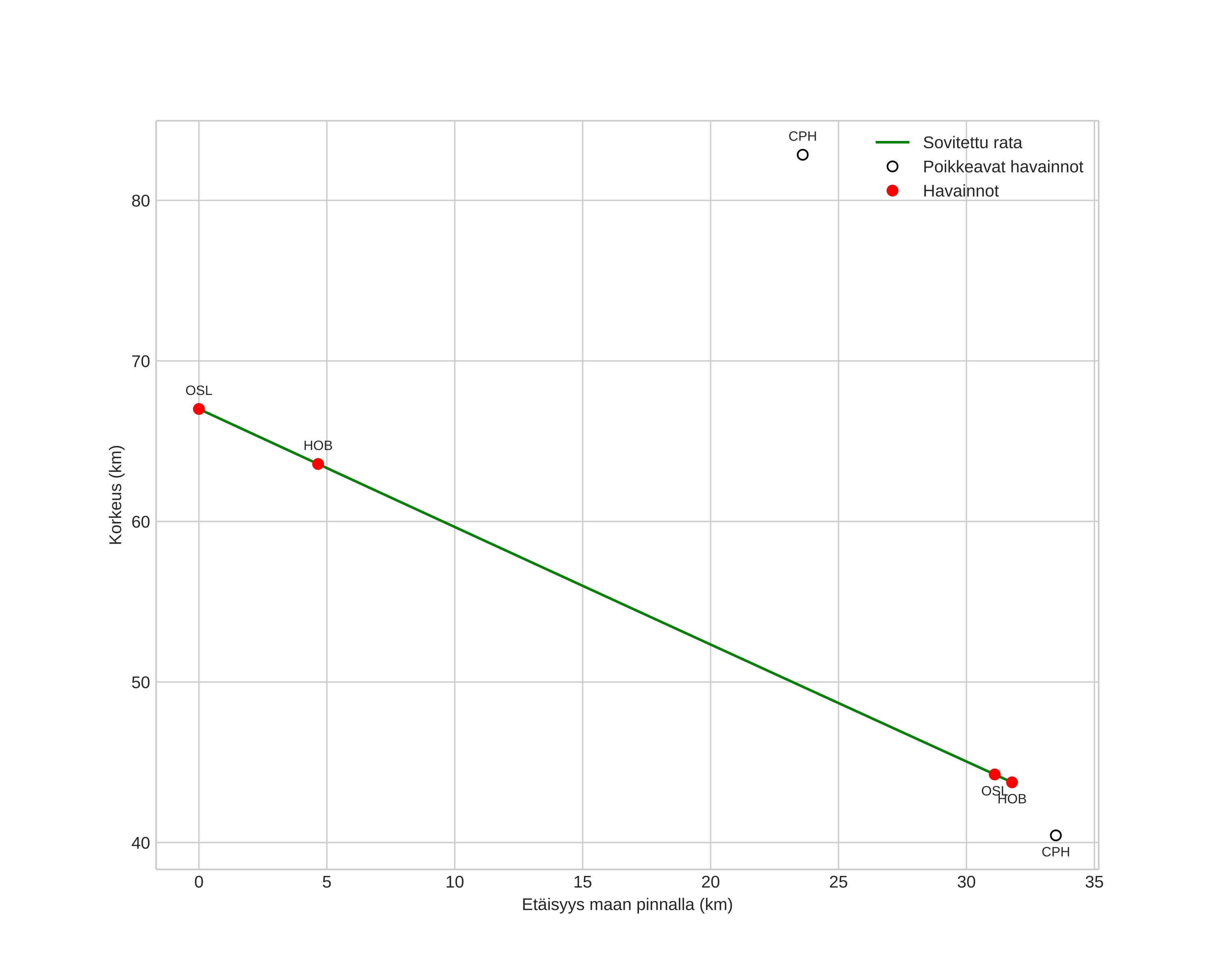
Meteorin ilmakehärata:
Alkukorkeus: 67,0 km
Loppukorkeus: 43,8 km
Alkupiste: 56,491N 11,421E
Loppupiste: 56,713N 11,749E
Suunta: 39,0°
Kallistuskulma: 36,1°
Tulonopeus: 21,1 km/s
Radiantin R,A,: 00:40 (10,0°)
Radiantin Dekl,: 3,8°
Meteoriparvi: Sporadinen
Meteoroidin rataelementit:
Perihelietäisyys: 0,673 AU
Eksentrisyys: 0,673
Inklinaatio: 0,3°
Nousevan solmun pituus: 16,6°
Perihelin argumentti: 78,9°
Keskianomalia: 344,7°
Epookki: 2018 OCT 10 00:53:43
orbit plot

Ei-interaktiivinen kuvaaja | Interaktiivinen kuvaaja

position vs time
speed and acceleration