🇳🇴 🇬🇧 🇩🇪 🇨🇿 🇫🇮

Meteor, poloha: Hol 2018-10-16 00:43:32 UTC

Soubor KML  |  InteraktivnĂ­ mapa

Mapa zobrazuje dráhy meteoru. Světlejší čáry ukazují směry od pozorovacích stanic při objevení se meteoru a tmavší čáry, kde byl naposledy viděn. Modrá šipka značí viditelnou dráhu meteoru.

static map
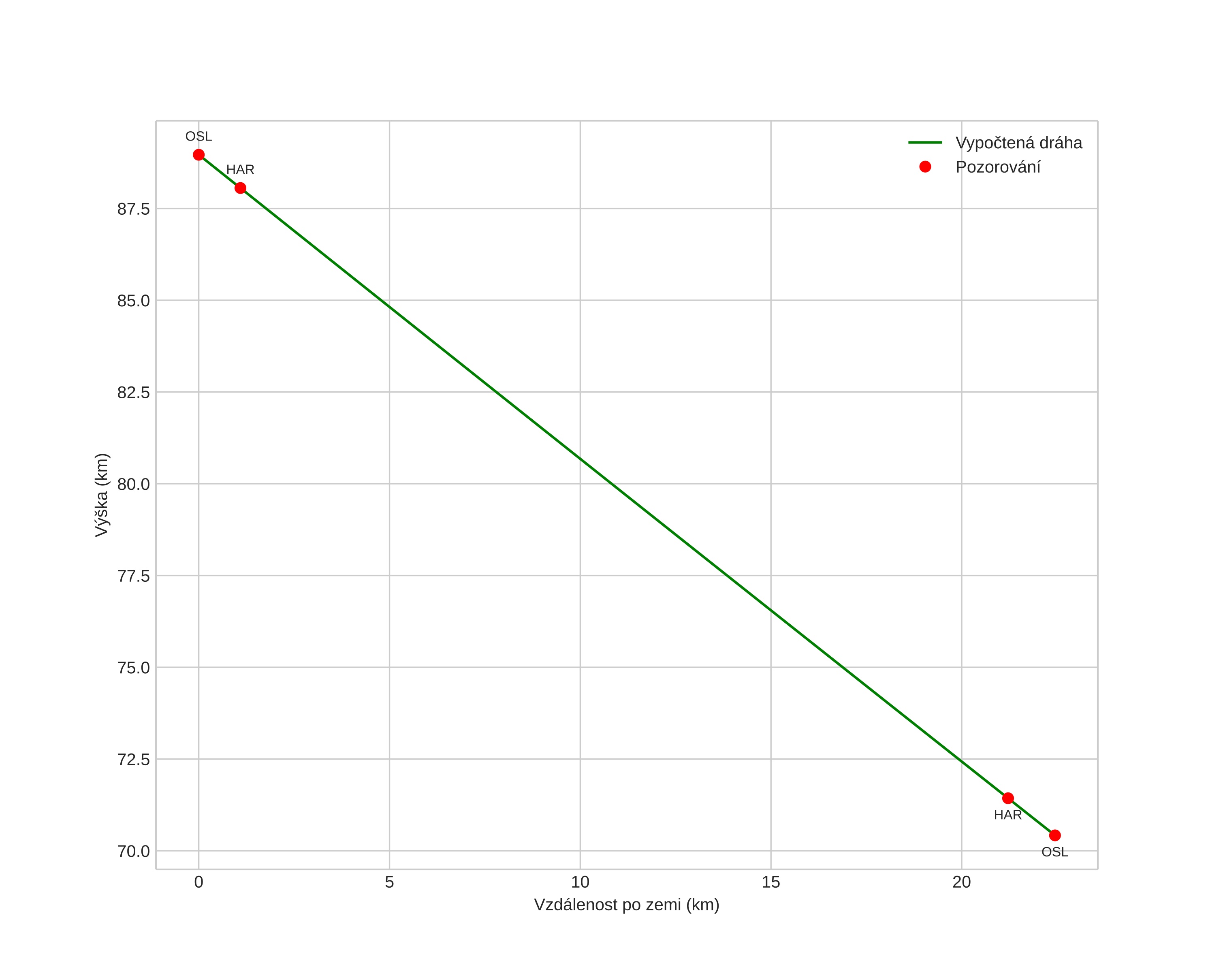
height profile
Atmosférická dráha meteoru:
Počáteční výška: 89,0 km
Konečná výška: 70,4 km
Počáteční poloha: 60,663N 7,989E
Konečná poloha: 60,864N 8,035E
Směr: 6,4°
Sklon: 39,6°
VstupnĂ­ rychlost: 30,5 km/s
Rektascenze radiantu: 02:29 (37,5°)
Deklinace radiantu: 8,4°
MeteorickĂ˝ roj: JiĹľnĂ­ Tauridy
Elementy dráhy meteoroidu:
Vzdálenost v periheliu: 0,311 AU
Excentricita: 0,824
Sklon dráhy: 7,7°
Délka vzestupného uzlu: 22,4°
Argument perihelia: 121,5°
Střední anomálie: 342,1°
Epocha: 2018 OCT 16 00:43:32
orbit plot

NeinteraktivnĂ­ graf | InteraktivnĂ­ graf

position vs time
speed and acceleration