🇳🇴 🇬🇧 🇩🇪 🇨🇿 🇫🇮

Meteor Holin yllä 2018-10-16 00:43:32 UTC

KML-tiedosto  |  Interaktiivinen kartta

Kartta näyttää meteorin suuntahavainnot. Vaaleammat viivat näyttävät suunnat havaintoasemilta meteorin ilmestyessä, ja tummemmat viivat näyttävät, missä se viimeksi nähtiin. Sininen nuoli näyttää meteorin näkyvän lennon.

static map
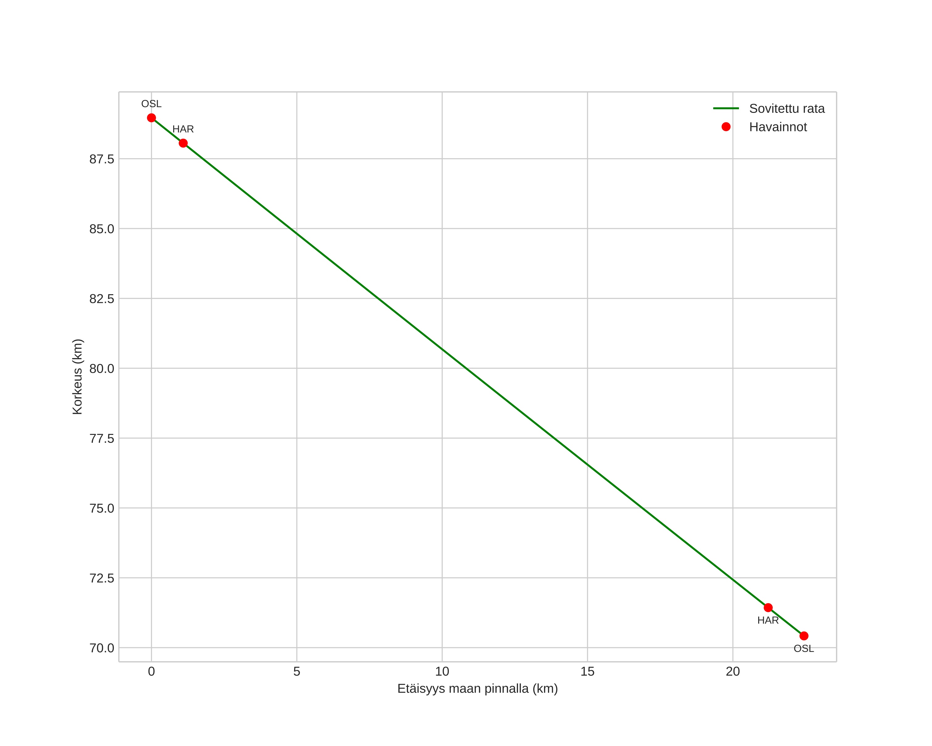
height profile
Meteorin ilmakehärata:
Alkukorkeus: 89,0 km
Loppukorkeus: 70,4 km
Alkupiste: 60,663N 7,989E
Loppupiste: 60,864N 8,035E
Suunta: 6,4°
Kallistuskulma: 39,6°
Tulonopeus: 30,5 km/s
Radiantin R,A,: 02:29 (37,5°)
Radiantin Dekl,: 8,4°
Meteoriparvi: Eteläiset tauridit
Meteoroidin rataelementit:
Perihelietäisyys: 0,311 AU
Eksentrisyys: 0,824
Inklinaatio: 7,7°
Nousevan solmun pituus: 22,4°
Perihelin argumentti: 121,5°
Keskianomalia: 342,1°
Epookki: 2018 OCT 16 00:43:32
orbit plot

Ei-interaktiivinen kuvaaja | Interaktiivinen kuvaaja

position vs time
speed and acceleration