🇳🇴 🇬🇧 🇩🇪 🇨🇿 🇫🇮

Meteor, poloha: Narvik 2018-10-17 23:55:53 UTC

Soubor KML  |  InteraktivnĂ­ mapa

Mapa zobrazuje dráhy meteoru. Světlejší čáry ukazují směry od pozorovacích stanic při objevení se meteoru a tmavší čáry, kde byl naposledy viděn. Modrá šipka značí viditelnou dráhu meteoru.

static map
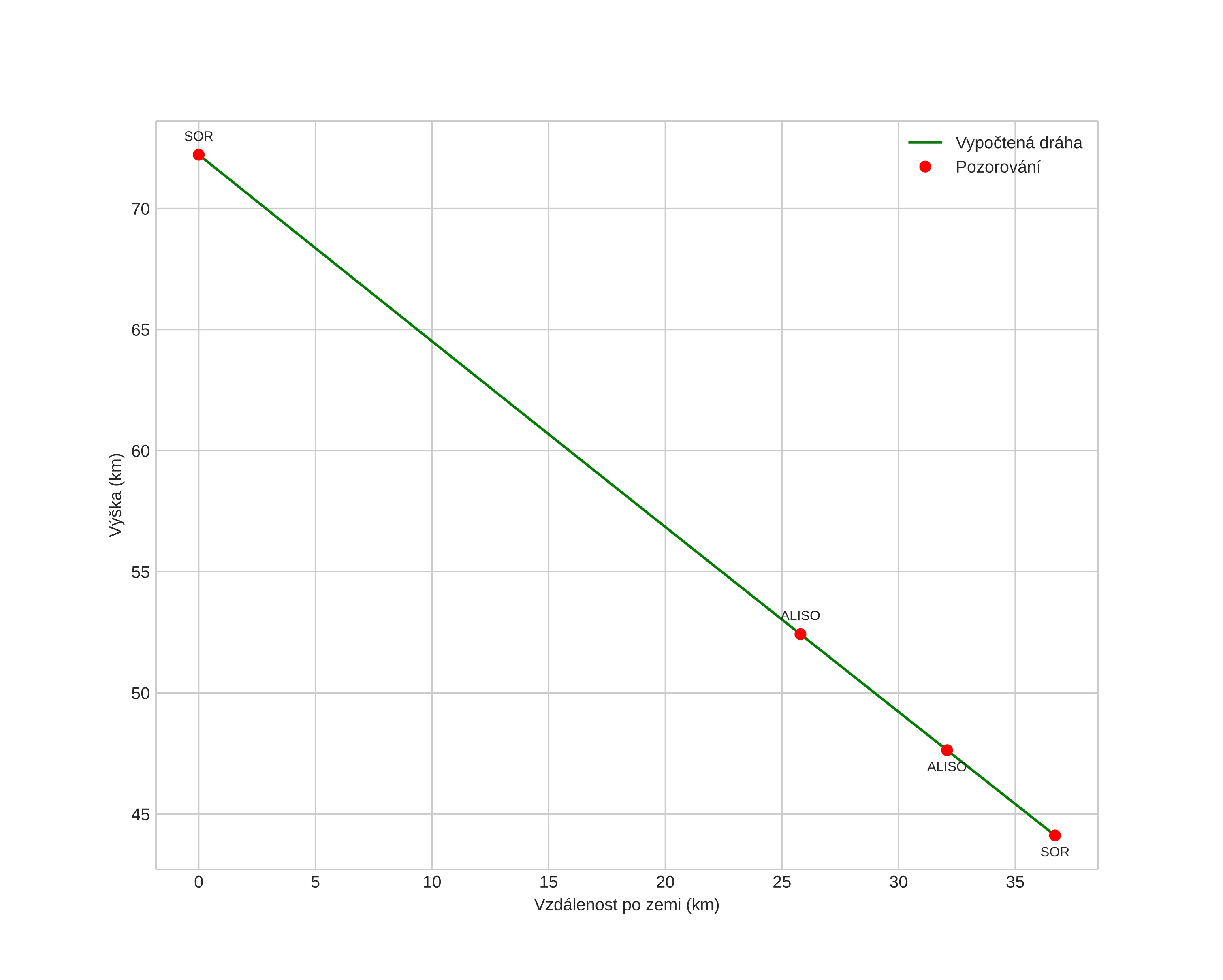
height profile
Atmosférická dráha meteoru:
Počáteční výška: 72,2 km
Konečná výška: 44,1 km
Počáteční poloha: 67,611N 17,594E
Konečná poloha: 67,918N 17,914E
Směr: 21,4°
Sklon: 37,4°
VstupnĂ­ rychlost: 25,5 km/s
Rektascenze radiantu: 01:37 (24,3°)
Deklinace radiantu: 13,2°
MeteorickĂ˝ roj: sporadickĂ˝
Elementy dráhy meteoroidu:
Vzdálenost v periheliu: 0,524 AU
Excentricita: 0,759
Sklon dráhy: 2,3°
Délka vzestupného uzlu: 204,3°
Argument perihelia: 275,7°
Střední anomálie: 346,0°
Epocha: 2018 OCT 17 23:55:53
orbit plot

NeinteraktivnĂ­ graf | InteraktivnĂ­ graf

position vs time
speed and acceleration