🇳🇴 🇬🇧 🇩🇪 🇨🇿 🇫🇮

Meteor Narvikin yllä 2018-10-17 23:55:53 UTC

KML-tiedosto  |  Interaktiivinen kartta

Kartta näyttää meteorin suuntahavainnot. Vaaleammat viivat näyttävät suunnat havaintoasemilta meteorin ilmestyessä, ja tummemmat viivat näyttävät, missä se viimeksi nähtiin. Sininen nuoli näyttää meteorin näkyvän lennon.

static map
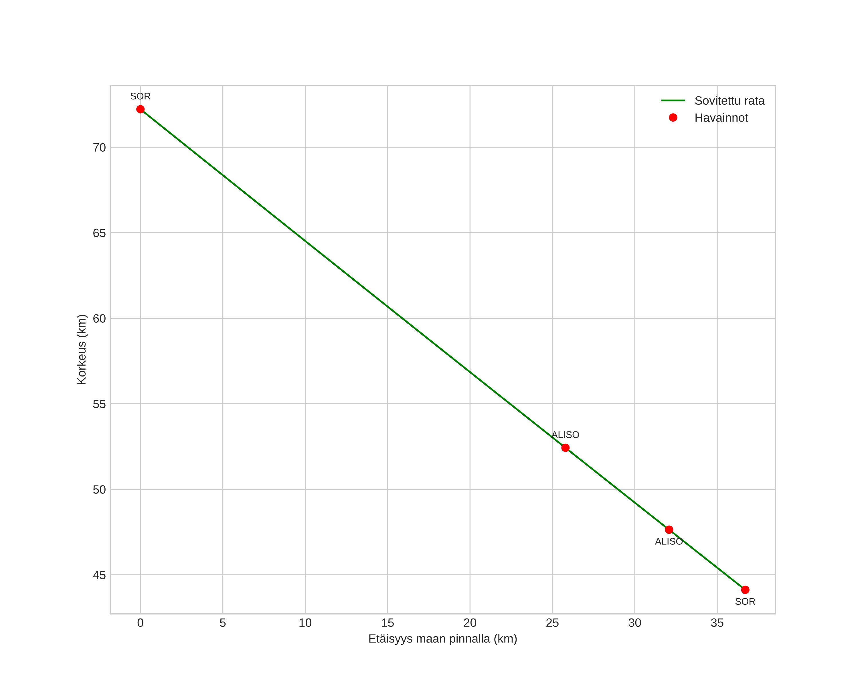
height profile
Meteorin ilmakehärata:
Alkukorkeus: 72,2 km
Loppukorkeus: 44,1 km
Alkupiste: 67,611N 17,594E
Loppupiste: 67,918N 17,914E
Suunta: 21,4°
Kallistuskulma: 37,4°
Tulonopeus: 25,5 km/s
Radiantin R,A,: 01:37 (24,3°)
Radiantin Dekl,: 13,2°
Meteoriparvi: Sporadinen
Meteoroidin rataelementit:
Perihelietäisyys: 0,524 AU
Eksentrisyys: 0,759
Inklinaatio: 2,3°
Nousevan solmun pituus: 204,3°
Perihelin argumentti: 275,7°
Keskianomalia: 346,0°
Epookki: 2018 OCT 17 23:55:53
orbit plot

Ei-interaktiivinen kuvaaja | Interaktiivinen kuvaaja

position vs time
speed and acceleration