🇳🇴 🇬🇧 🇩🇪 🇨🇿 🇫🇮

Meteor, poloha: FlĂĄ 2018-10-21 20:45:18 UTC

Soubor KML  |  InteraktivnĂ­ mapa

Mapa zobrazuje dráhy meteoru. Světlejší čáry ukazují směry od pozorovacích stanic při objevení se meteoru a tmavší čáry, kde byl naposledy viděn. Modrá šipka značí viditelnou dráhu meteoru.

static map
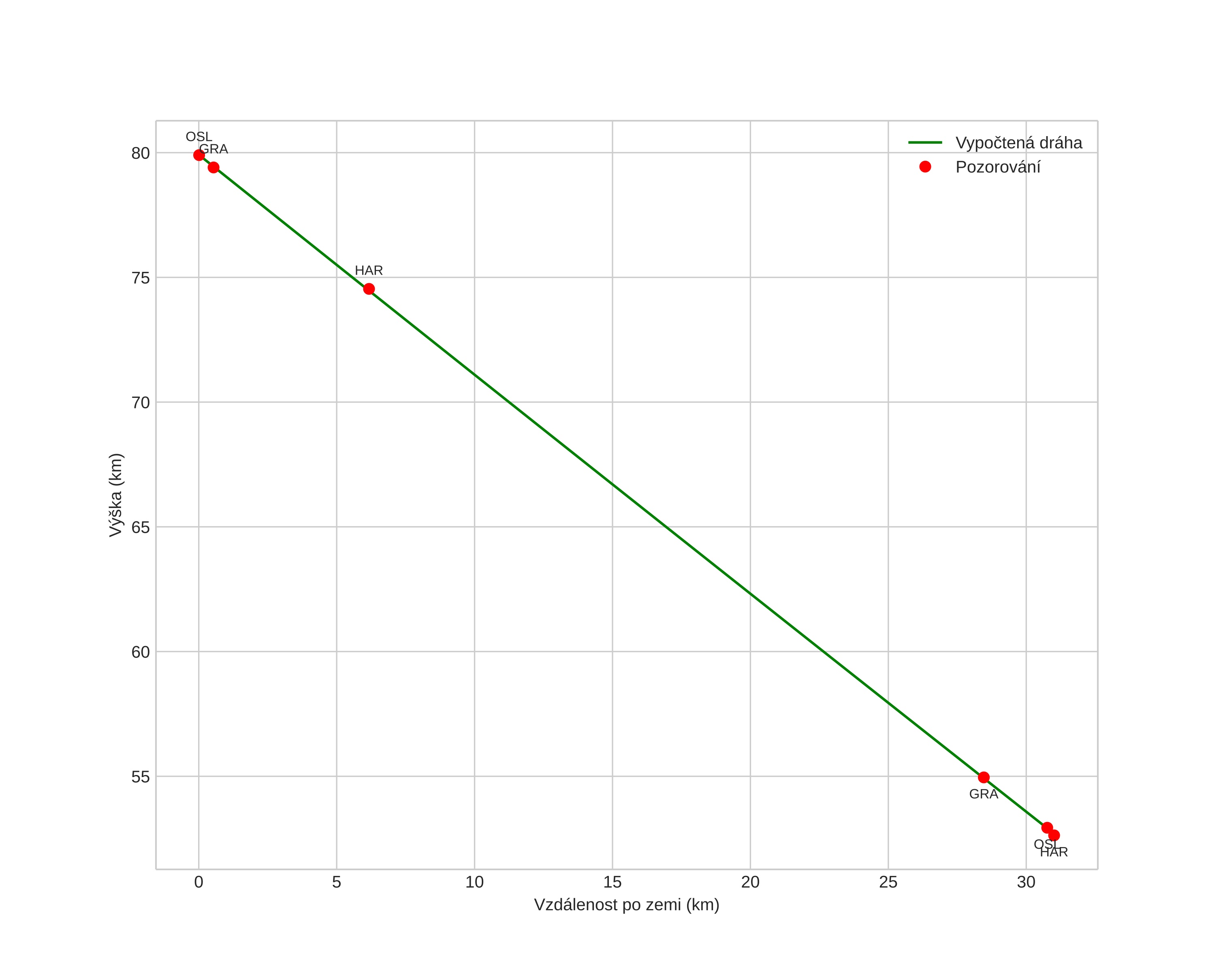
height profile
Atmosférická dráha meteoru:
Počáteční výška: 79,9 km
Konečná výška: 52,7 km
Počáteční poloha: 60,489N 8,765E
Konečná poloha: 60,467N 9,330E
Směr: 94,4°
Sklon: 41,2°
VstupnĂ­ rychlost: 16,2 km/s
Rektascenze radiantu: 18:16 (274,2°)
Deklinace radiantu: 29,9°
MeteorickĂ˝ roj: sporadickĂ˝
Elementy dráhy meteoroidu:
Vzdálenost v periheliu: 0,991 AU
Excentricita: 0,609
Sklon dráhy: 14,7°
Délka vzestupného uzlu: 208,1°
Argument perihelia: 171,2°
Střední anomálie: 1,7°
Epocha: 2018 OCT 21 20:45:18
orbit plot

NeinteraktivnĂ­ graf | InteraktivnĂ­ graf

position vs time
speed and acceleration