🇳🇴 🇬🇧 🇩🇪 🇨🇿 🇫🇮

Meteor Flåin yllä 2018-10-21 20:45:18 UTC

KML-tiedosto  |  Interaktiivinen kartta

Kartta näyttää meteorin suuntahavainnot. Vaaleammat viivat näyttävät suunnat havaintoasemilta meteorin ilmestyessä, ja tummemmat viivat näyttävät, missä se viimeksi nähtiin. Sininen nuoli näyttää meteorin näkyvän lennon.

static map
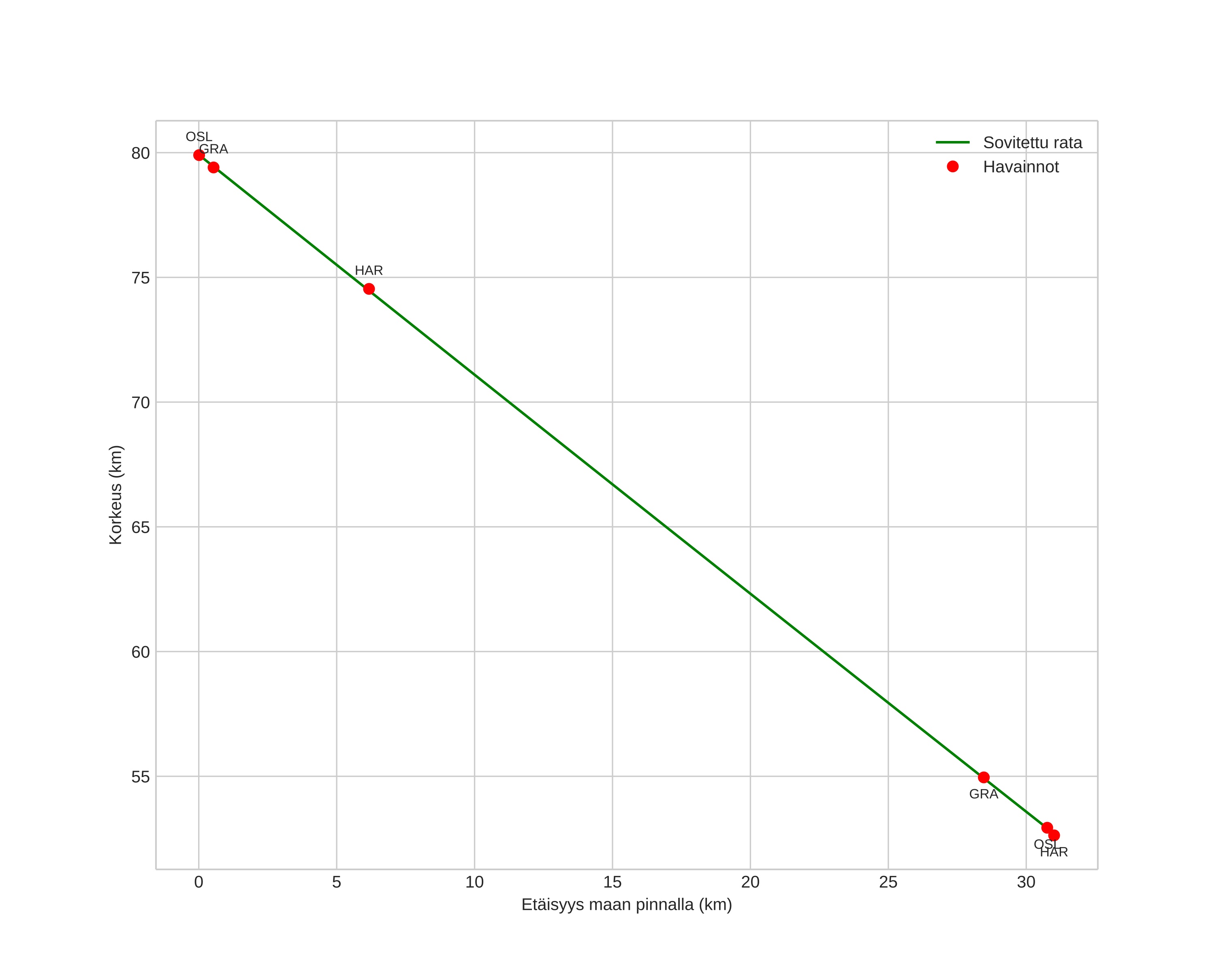
height profile
Meteorin ilmakehärata:
Alkukorkeus: 79,9 km
Loppukorkeus: 52,7 km
Alkupiste: 60,489N 8,765E
Loppupiste: 60,467N 9,330E
Suunta: 94,4°
Kallistuskulma: 41,2°
Tulonopeus: 16,2 km/s
Radiantin R,A,: 18:16 (274,2°)
Radiantin Dekl,: 29,9°
Meteoriparvi: Sporadinen
Meteoroidin rataelementit:
Perihelietäisyys: 0,991 AU
Eksentrisyys: 0,609
Inklinaatio: 14,7°
Nousevan solmun pituus: 208,1°
Perihelin argumentti: 171,2°
Keskianomalia: 1,7°
Epookki: 2018 OCT 21 20:45:18
orbit plot

Ei-interaktiivinen kuvaaja | Interaktiivinen kuvaaja

position vs time
speed and acceleration