🇳🇴 🇬🇧 🇩🇪 🇨🇿 🇫🇮

Meteor, poloha: Ă–verkalix 2018-10-24 02:39:25 UTC

Soubor KML  |  InteraktivnĂ­ mapa

Mapa zobrazuje dráhy meteoru. Světlejší čáry ukazují směry od pozorovacích stanic při objevení se meteoru a tmavší čáry, kde byl naposledy viděn. Modrá šipka značí viditelnou dráhu meteoru.

static map
height profile
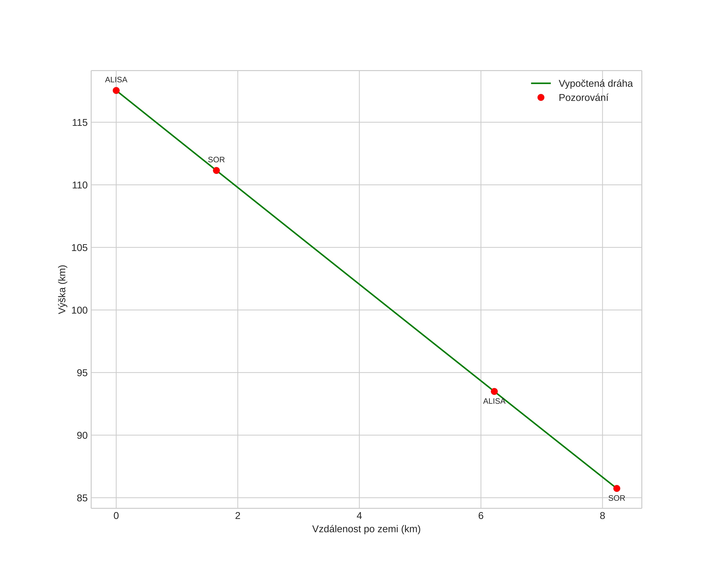
Atmosférická dráha meteoru:
Počáteční výška: 117,5 km
Konečná výška: 85,7 km
Počáteční poloha: 66,279N 22,739E
Konečná poloha: 66,324N 22,593E
Směr: 307,5°
Sklon: 75,5°
VstupnĂ­ rychlost: 58,2 km/s
Rektascenze radiantu: 07:39 (115,0°)
Deklinace radiantu: 55,4°
MeteorickĂ˝ roj: sporadickĂ˝
Elementy dráhy meteoroidu:
Vzdálenost v periheliu: 0,865 AU
Excentricita: 0,625
Sklon dráhy: 117,5°
Délka vzestupného uzlu: 210,4°
Argument perihelia: 228,6°
Střední anomálie: 350,4°
Epocha: 2018 OCT 24 02:39:25
orbit plot

NeinteraktivnĂ­ graf | InteraktivnĂ­ graf

position vs time
speed and acceleration