🇳🇴 🇬🇧 🇩🇪 🇨🇿 🇫🇮

Meteor Överkalixin yllä 2018-10-24 02:39:25 UTC

KML-tiedosto  |  Interaktiivinen kartta

Kartta näyttää meteorin suuntahavainnot. Vaaleammat viivat näyttävät suunnat havaintoasemilta meteorin ilmestyessä, ja tummemmat viivat näyttävät, missä se viimeksi nähtiin. Sininen nuoli näyttää meteorin näkyvän lennon.

static map
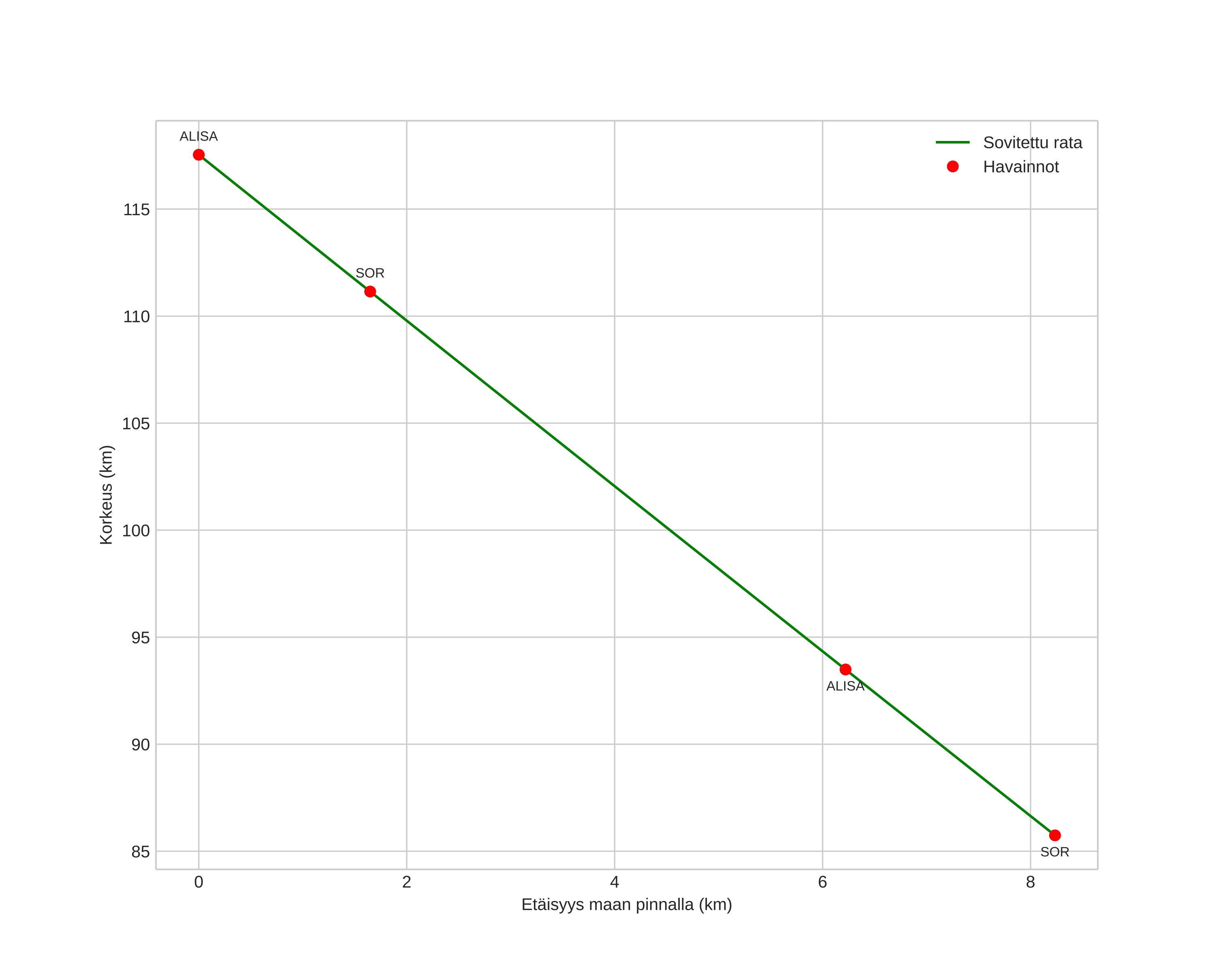
height profile
Meteorin ilmakehärata:
Alkukorkeus: 117,5 km
Loppukorkeus: 85,7 km
Alkupiste: 66,279N 22,739E
Loppupiste: 66,324N 22,593E
Suunta: 307,5°
Kallistuskulma: 75,5°
Tulonopeus: 58,2 km/s
Radiantin R,A,: 07:39 (115,0°)
Radiantin Dekl,: 55,4°
Meteoriparvi: Sporadinen
Meteoroidin rataelementit:
Perihelietäisyys: 0,865 AU
Eksentrisyys: 0,625
Inklinaatio: 117,5°
Nousevan solmun pituus: 210,4°
Perihelin argumentti: 228,6°
Keskianomalia: 350,4°
Epookki: 2018 OCT 24 02:39:25
orbit plot

Ei-interaktiivinen kuvaaja | Interaktiivinen kuvaaja

position vs time
speed and acceleration