🇳🇴 🇬🇧 🇩🇪 🇨🇿 🇫🇮

Meteor, poloha: Mora 2018-10-24 22:57:59 UTC

Soubor KML  |  InteraktivnĂ­ mapa

Mapa zobrazuje dráhy meteoru. Světlejší čáry ukazují směry od pozorovacích stanic při objevení se meteoru a tmavší čáry, kde byl naposledy viděn. Modrá šipka značí viditelnou dráhu meteoru.

static map
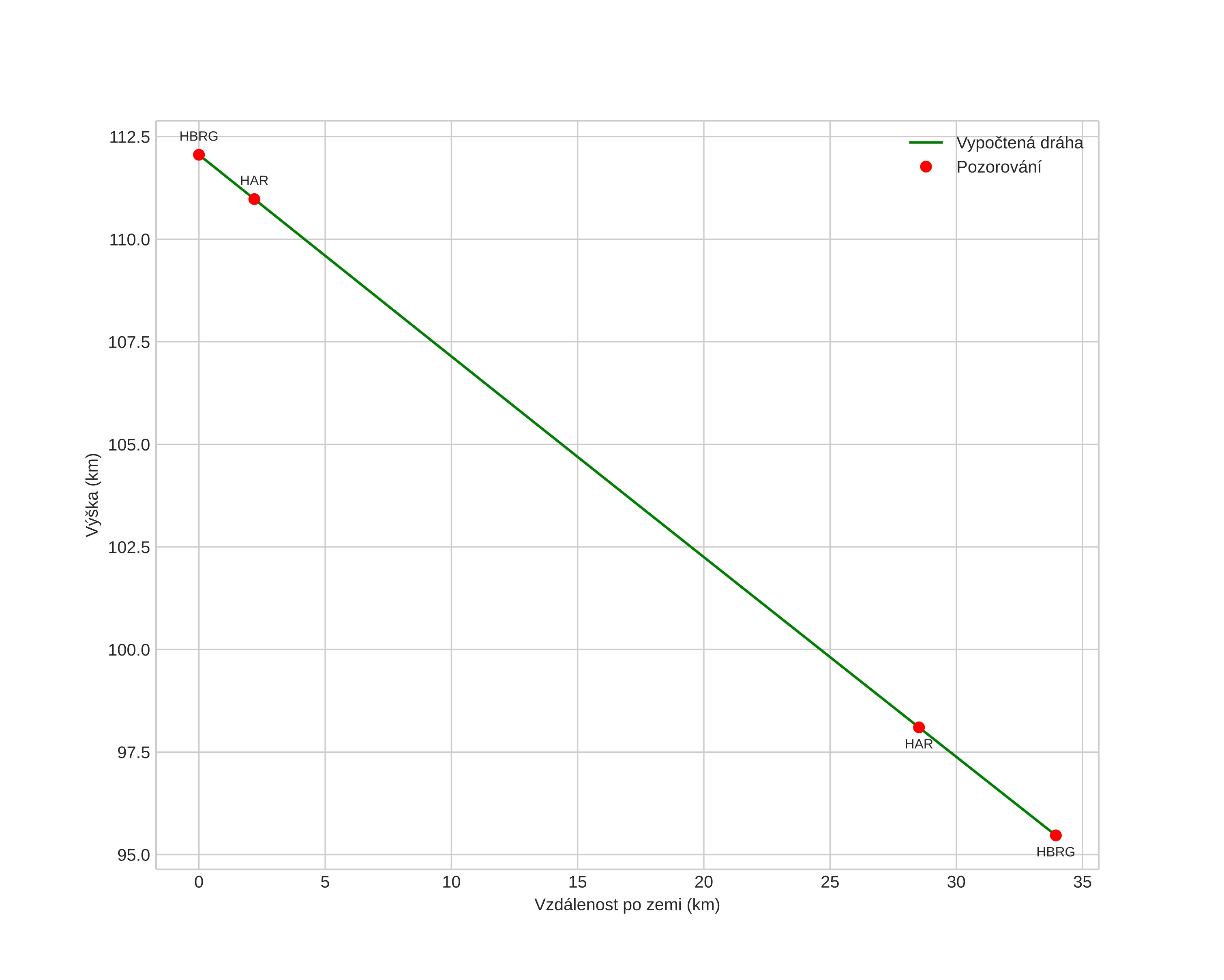
height profile
Atmosférická dráha meteoru:
Počáteční výška: 112,1 km
Konečná výška: 95,5 km
Počáteční poloha: 60,848N 14,860E
Konečná poloha: 60,950N 14,268E
Směr: 289,7°
Sklon: 26,1°
VstupnĂ­ rychlost: 62,1 km/s
Rektascenze radiantu: 06:11 (93,0°)
Deklinace radiantu: 13,2°
MeteorickĂ˝ roj: Orionidy
Elementy dráhy meteoroidu:
Vzdálenost v periheliu: 0,382 AU
Excentricita: 0,866
Sklon dráhy: 154,6°
Délka vzestupného uzlu: 31,2°
Argument perihelia: 109,1°
Střední anomálie: 351,5°
Epocha: 2018 OCT 24 22:57:59
orbit plot

NeinteraktivnĂ­ graf | InteraktivnĂ­ graf

position vs time
speed and acceleration