🇳🇴 🇬🇧 🇩🇪 🇨🇿 🇫🇮

Meteor Moran yllä 2018-10-24 22:57:59 UTC

KML-tiedosto  |  Interaktiivinen kartta

Kartta näyttää meteorin suuntahavainnot. Vaaleammat viivat näyttävät suunnat havaintoasemilta meteorin ilmestyessä, ja tummemmat viivat näyttävät, missä se viimeksi nähtiin. Sininen nuoli näyttää meteorin näkyvän lennon.

static map
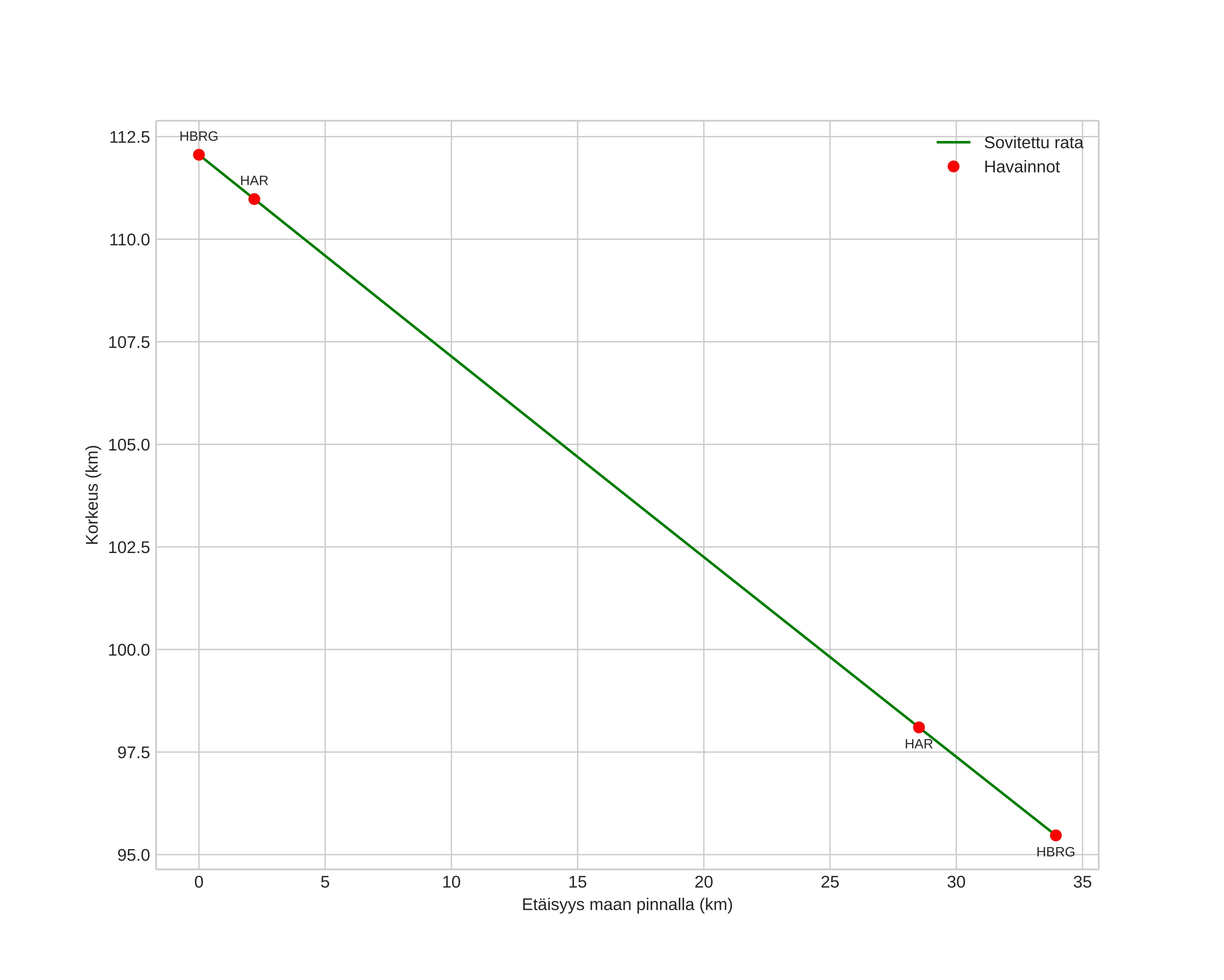
height profile
Meteorin ilmakehärata:
Alkukorkeus: 112,1 km
Loppukorkeus: 95,5 km
Alkupiste: 60,848N 14,860E
Loppupiste: 60,950N 14,268E
Suunta: 289,7°
Kallistuskulma: 26,1°
Tulonopeus: 62,1 km/s
Radiantin R,A,: 06:11 (93,0°)
Radiantin Dekl,: 13,2°
Meteoriparvi: Orionidit
Meteoroidin rataelementit:
Perihelietäisyys: 0,382 AU
Eksentrisyys: 0,866
Inklinaatio: 154,6°
Nousevan solmun pituus: 31,2°
Perihelin argumentti: 109,1°
Keskianomalia: 351,5°
Epookki: 2018 OCT 24 22:57:59
orbit plot

Ei-interaktiivinen kuvaaja | Interaktiivinen kuvaaja

position vs time
speed and acceleration