🇳🇴 🇬🇧 🇩🇪 🇨🇿 🇫🇮

Meteor, poloha: Tofte 2018-10-24 23:14:09 UTC

Soubor KML  |  InteraktivnĂ­ mapa

Mapa zobrazuje dráhy meteoru. Světlejší čáry ukazují směry od pozorovacích stanic při objevení se meteoru a tmavší čáry, kde byl naposledy viděn. Modrá šipka značí viditelnou dráhu meteoru.

static map
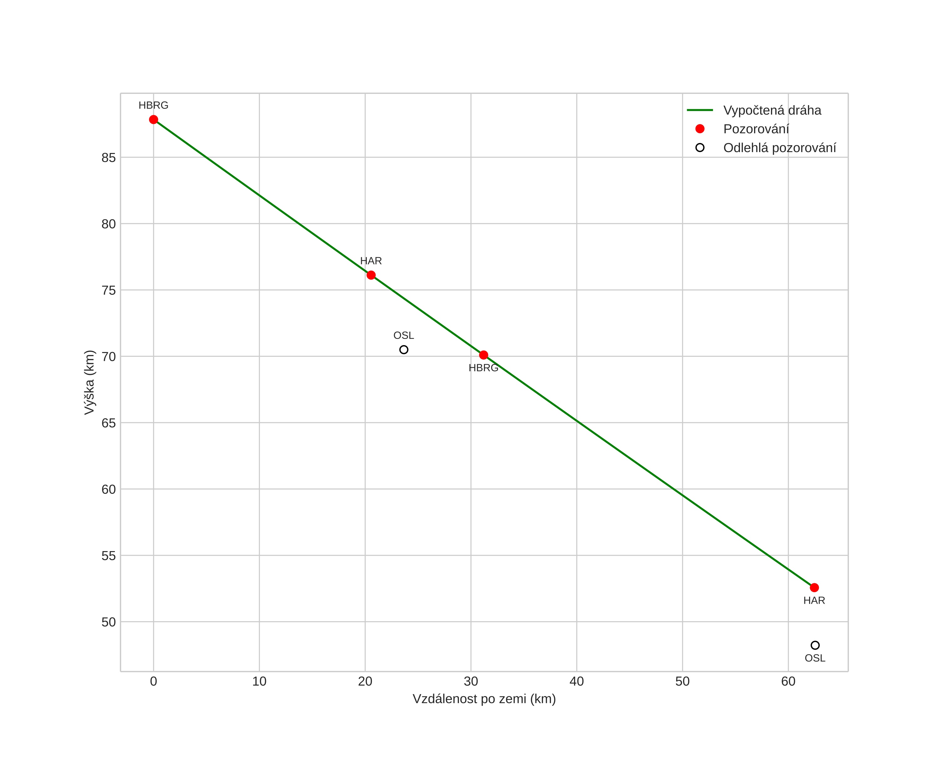
height profile
Atmosférická dráha meteoru:
Počáteční výška: 87,8 km
Konečná výška: 52,6 km
Počáteční poloha: 59,303N 11,611E
Konečná poloha: 59,463N 10,554E
Směr: 287,0°
Sklon: 29,4°
VstupnĂ­ rychlost: 48,4 km/s
Rektascenze radiantu: 06:15 (94,0°)
Deklinace radiantu: 16,2°
MeteorickĂ˝ roj: sporadickĂ˝
Elementy dráhy meteoroidu:
Vzdálenost v periheliu: 0,097 AU
Excentricita: 0,875
Sklon dráhy: 152,8°
Délka vzestupného uzlu: 31,2°
Argument perihelia: 159,1°
Střední anomálie: 298,6°
Epocha: 2018 OCT 24 23:14:09
orbit plot

NeinteraktivnĂ­ graf | InteraktivnĂ­ graf

position vs time
speed and acceleration