🇳🇴 🇬🇧 🇩🇪 🇨🇿 🇫🇮

Meteor Toften yllä 2018-10-24 23:14:09 UTC

KML-tiedosto  |  Interaktiivinen kartta

Kartta näyttää meteorin suuntahavainnot. Vaaleammat viivat näyttävät suunnat havaintoasemilta meteorin ilmestyessä, ja tummemmat viivat näyttävät, missä se viimeksi nähtiin. Sininen nuoli näyttää meteorin näkyvän lennon.

static map
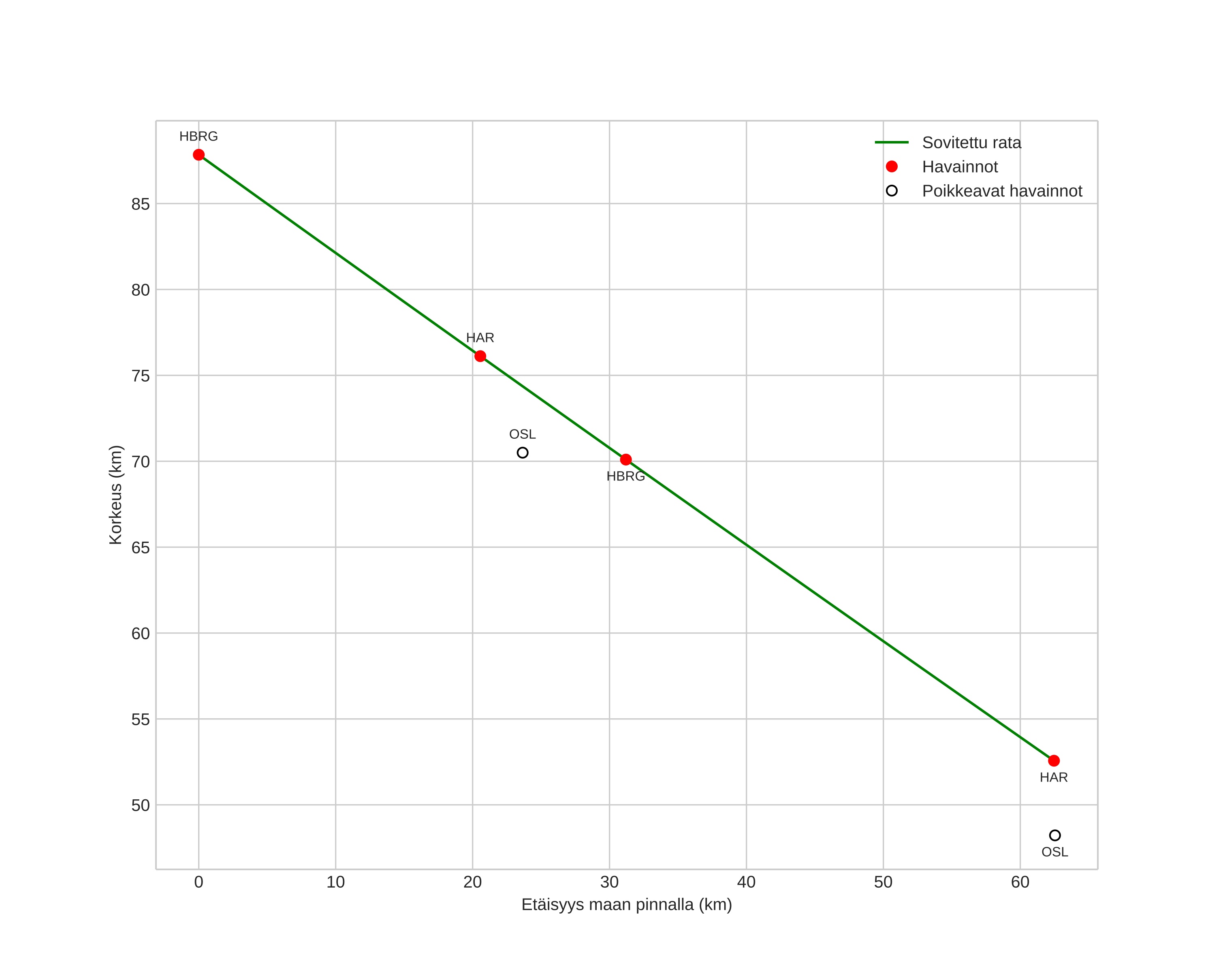
height profile
Meteorin ilmakehärata:
Alkukorkeus: 87,8 km
Loppukorkeus: 52,6 km
Alkupiste: 59,303N 11,611E
Loppupiste: 59,463N 10,554E
Suunta: 287,0°
Kallistuskulma: 29,4°
Tulonopeus: 48,4 km/s
Radiantin R,A,: 06:15 (94,0°)
Radiantin Dekl,: 16,2°
Meteoriparvi: Sporadinen
Meteoroidin rataelementit:
Perihelietäisyys: 0,097 AU
Eksentrisyys: 0,875
Inklinaatio: 152,8°
Nousevan solmun pituus: 31,2°
Perihelin argumentti: 159,1°
Keskianomalia: 298,6°
Epookki: 2018 OCT 24 23:14:09
orbit plot

Ei-interaktiivinen kuvaaja | Interaktiivinen kuvaaja

position vs time
speed and acceleration