🇳🇴 🇬🇧 🇩🇪 🇨🇿 🇫🇮

Meteor, poloha: Hyltebruk 2018-10-26 23:25:27 UTC

Soubor KML  |  InteraktivnĂ­ mapa

Mapa zobrazuje dráhy meteoru. Světlejší čáry ukazují směry od pozorovacích stanic při objevení se meteoru a tmavší čáry, kde byl naposledy viděn. Modrá šipka značí viditelnou dráhu meteoru.

static map
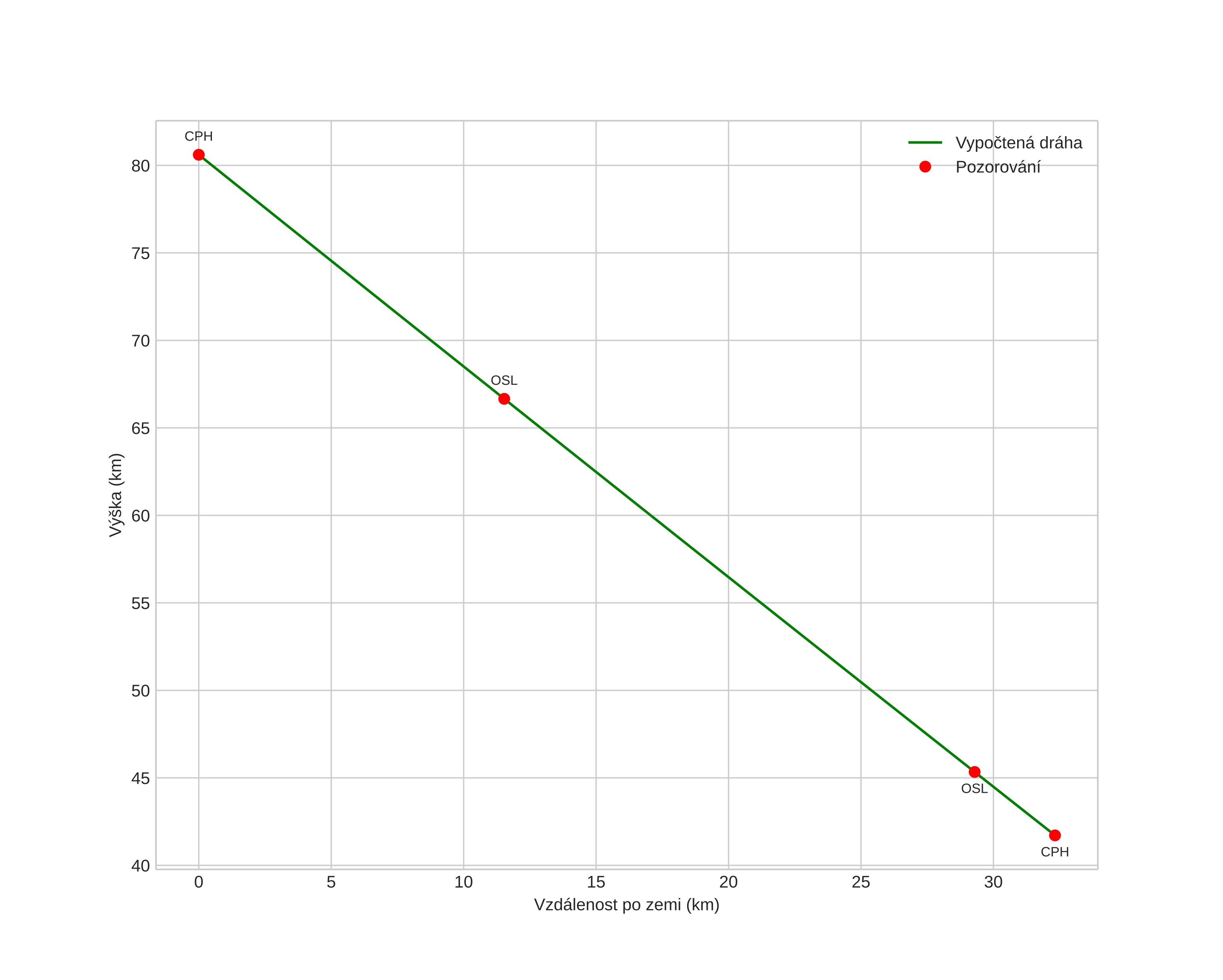
height profile
Atmosférická dráha meteoru:
Počáteční výška: 80,6 km
Konečná výška: 41,7 km
Počáteční poloha: 56,966N 12,901E
Konečná poloha: 57,224N 13,148E
Směr: 27,3°
Sklon: 50,3°
VstupnĂ­ rychlost: 20,1 km/s
Rektascenze radiantu: 01:17 (19,3°)
Deklinace radiantu: 15,7°
MeteorickĂ˝ roj: sporadickĂ˝
Elementy dráhy meteoroidu:
Vzdálenost v periheliu: 0,723 AU
Excentricita: 0,654
Sklon dráhy: 3,6°
Délka vzestupného uzlu: 213,2°
Argument perihelia: 252,0°
Střední anomálie: 345,7°
Epocha: 2018 OCT 26 23:25:27
orbit plot

NeinteraktivnĂ­ graf | InteraktivnĂ­ graf

position vs time
speed and acceleration