🇳🇴 🇬🇧 🇩🇪 🇨🇿 🇫🇮

Meteor über Hyltebruk 2018-10-26 23:25:27 UTC

KML-Datei  |  Interaktive Karte

Die Karte zeigt die Peilungen für den Meteor. Die helleren Linien zeigen die Richtungen von den Beobachtungsorten beim Erscheinen des Meteors, und die dunkleren Linien, wo er zuletzt gesehen wurde. Der blaue Pfeil zeigt die sichtbare Bahn des Meteors.

static map
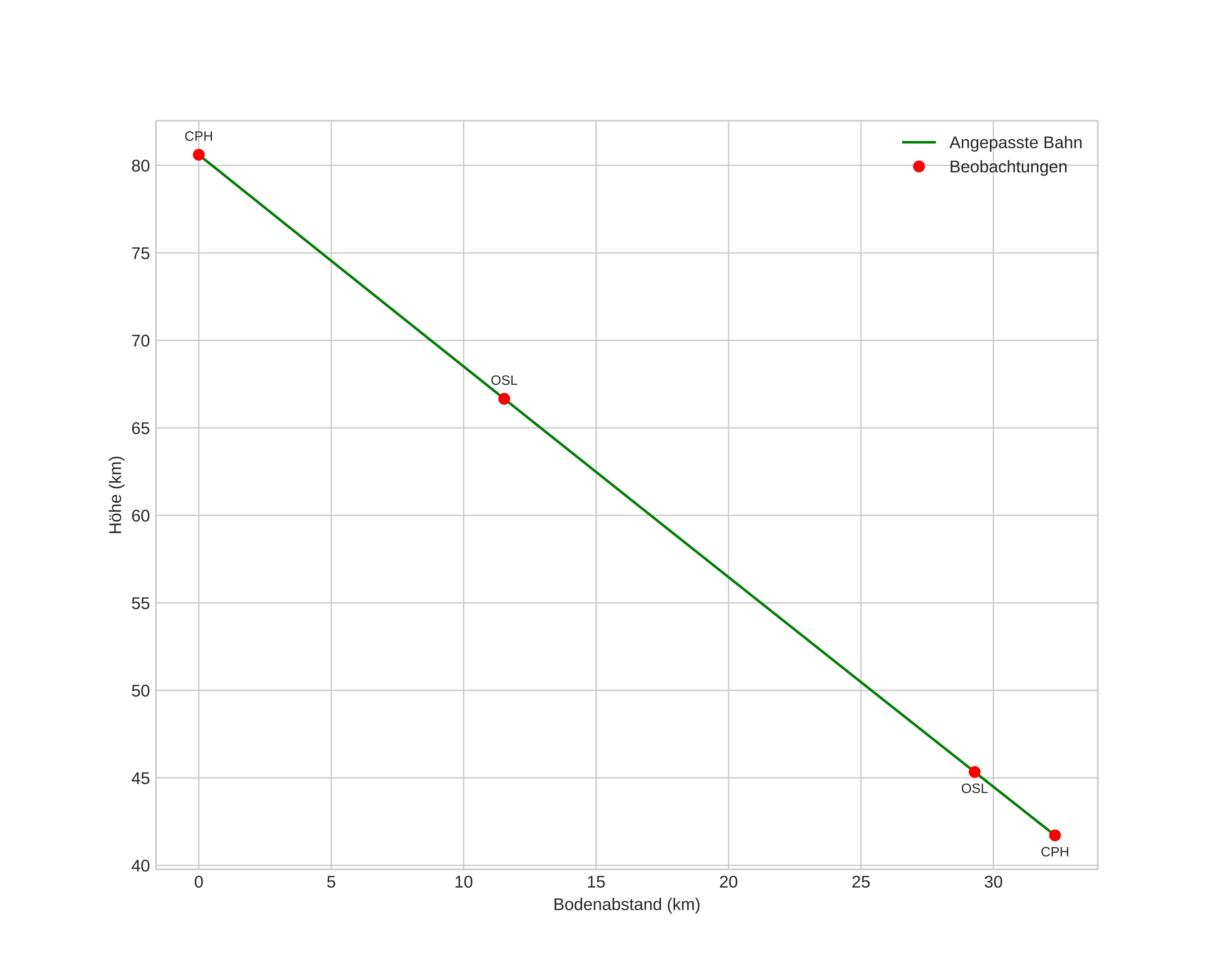
height profile
Atmosphärische Bahn des Meteors:
Anfangshöhe: 80,6 km
Endhöhe: 41,7 km
Startposition: 56,966N 12,901E
Endposition: 57,224N 13,148E
Richtung: 27,3°
Neigungswinkel: 50,3°
Eintrittsgeschwindigkeit: 20,1 km/s
Rektaszension des Radianten: 01:17 (19,3°)
Deklination des Radianten: 15,7°
Meteorstrom: sporadisch
Bahnelemente des Meteoroiden:
Periheldistanz: 0,723 AU
Exzentrizität: 0,654
Inklination: 3,6°
Länge des aufsteigenden Knotens: 213,2°
Argument des Perihels: 252,0°
Mittlere Anomalie: 345,7°
Epoche: 2018 OCT 26 23:25:27
orbit plot

Nicht-interaktives Diagramm | Interaktives Diagramm

position vs time
speed and acceleration