🇳🇴 🇬🇧 🇩🇪 🇨🇿 🇫🇮

Meteor, poloha: Lervik 2018-10-31 19:21:48 UTC

Soubor KML  |  InteraktivnĂ­ mapa

Mapa zobrazuje dráhy meteoru. Světlejší čáry ukazují směry od pozorovacích stanic při objevení se meteoru a tmavší čáry, kde byl naposledy viděn. Modrá šipka značí viditelnou dráhu meteoru.

static map
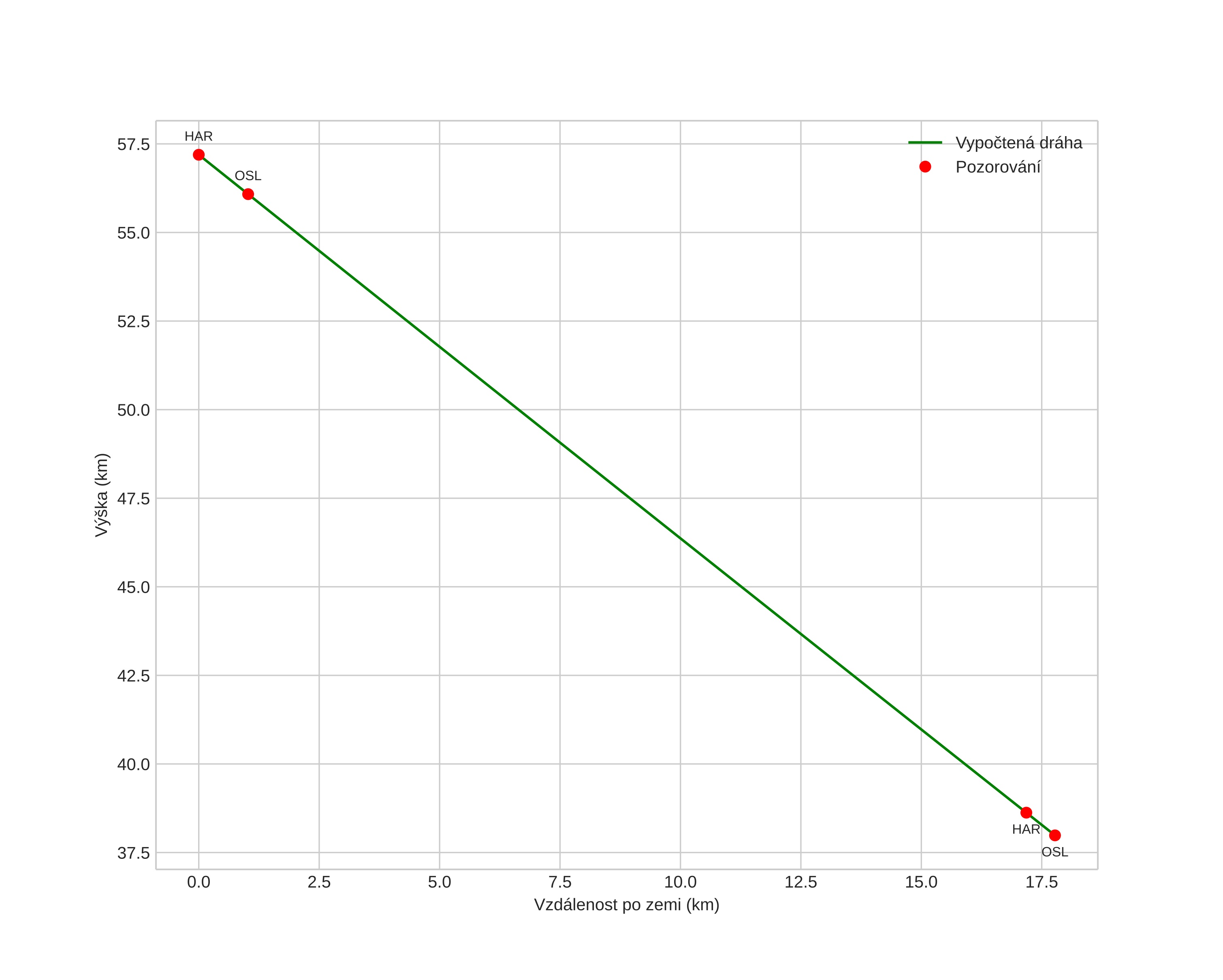
height profile
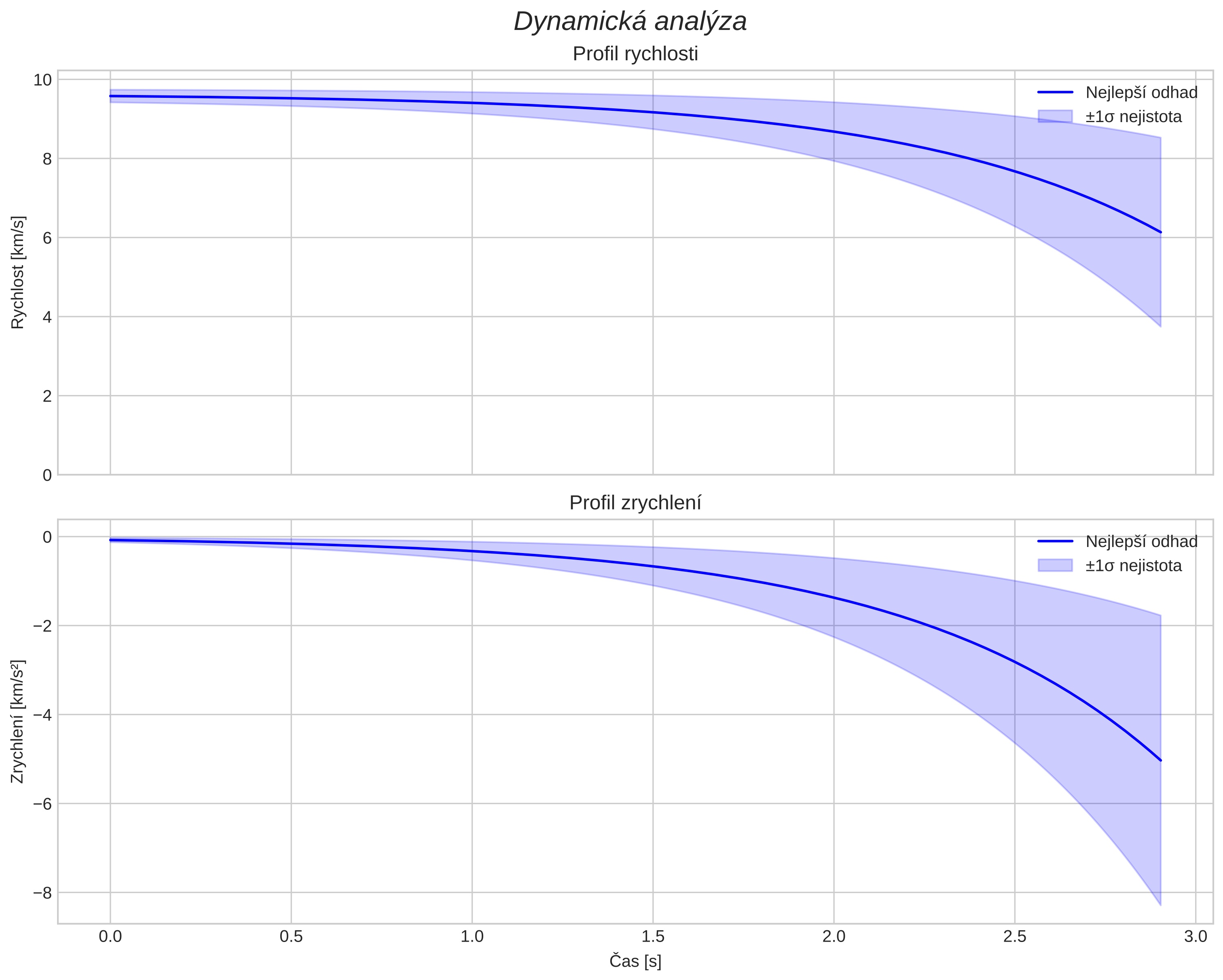
Atmosférická dráha meteoru:
Počáteční výška: 57,2 km
Konečná výška: 38,0 km
Počáteční poloha: 59,133N 10,361E
Konečná poloha: 59,152N 10,671E
Směr: 83,1°
Sklon: 47,2°
VstupnĂ­ rychlost: 9,6 km/s
position vs time
speed and acceleration