🇳🇴 🇬🇧 🇩🇪 🇨🇿 🇫🇮

Meteor Lervikin yllä 2018-10-31 19:21:48 UTC

KML-tiedosto  |  Interaktiivinen kartta

Kartta näyttää meteorin suuntahavainnot. Vaaleammat viivat näyttävät suunnat havaintoasemilta meteorin ilmestyessä, ja tummemmat viivat näyttävät, missä se viimeksi nähtiin. Sininen nuoli näyttää meteorin näkyvän lennon.

static map
height profile
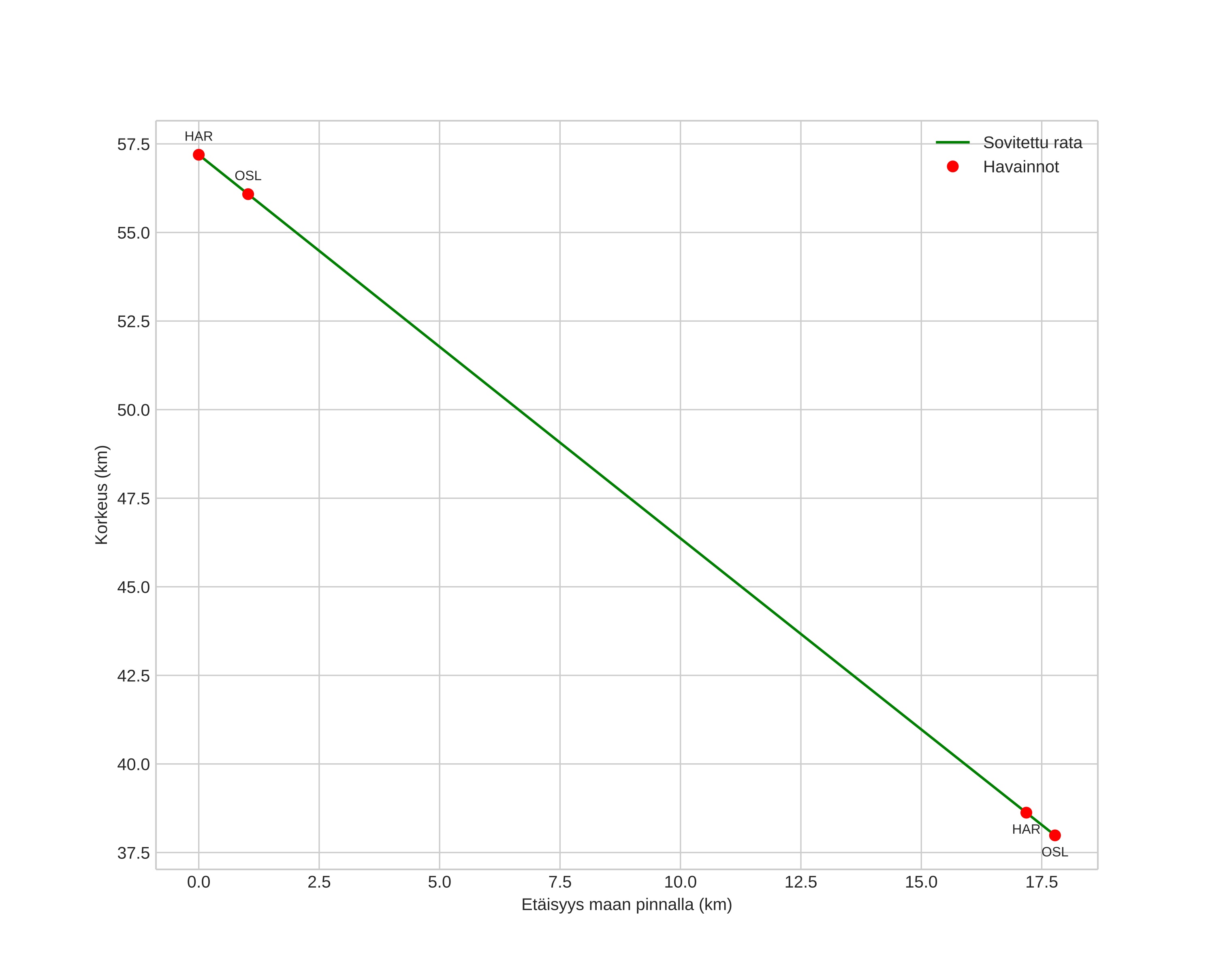
Meteorin ilmakehärata:
Alkukorkeus: 57,2 km
Loppukorkeus: 38,0 km
Alkupiste: 59,133N 10,361E
Loppupiste: 59,152N 10,671E
Suunta: 83,1°
Kallistuskulma: 47,2°
Tulonopeus: 9,6 km/s
position vs time
speed and acceleration