🇳🇴 🇬🇧 🇩🇪 🇨🇿 🇫🇮

Meteor, poloha: Vinderup 2018-11-08 22:59:43 UTC

Soubor KML  |  InteraktivnĂ­ mapa

Mapa zobrazuje dráhy meteoru. Světlejší čáry ukazují směry od pozorovacích stanic při objevení se meteoru a tmavší čáry, kde byl naposledy viděn. Modrá šipka značí viditelnou dráhu meteoru.

static map
height profile
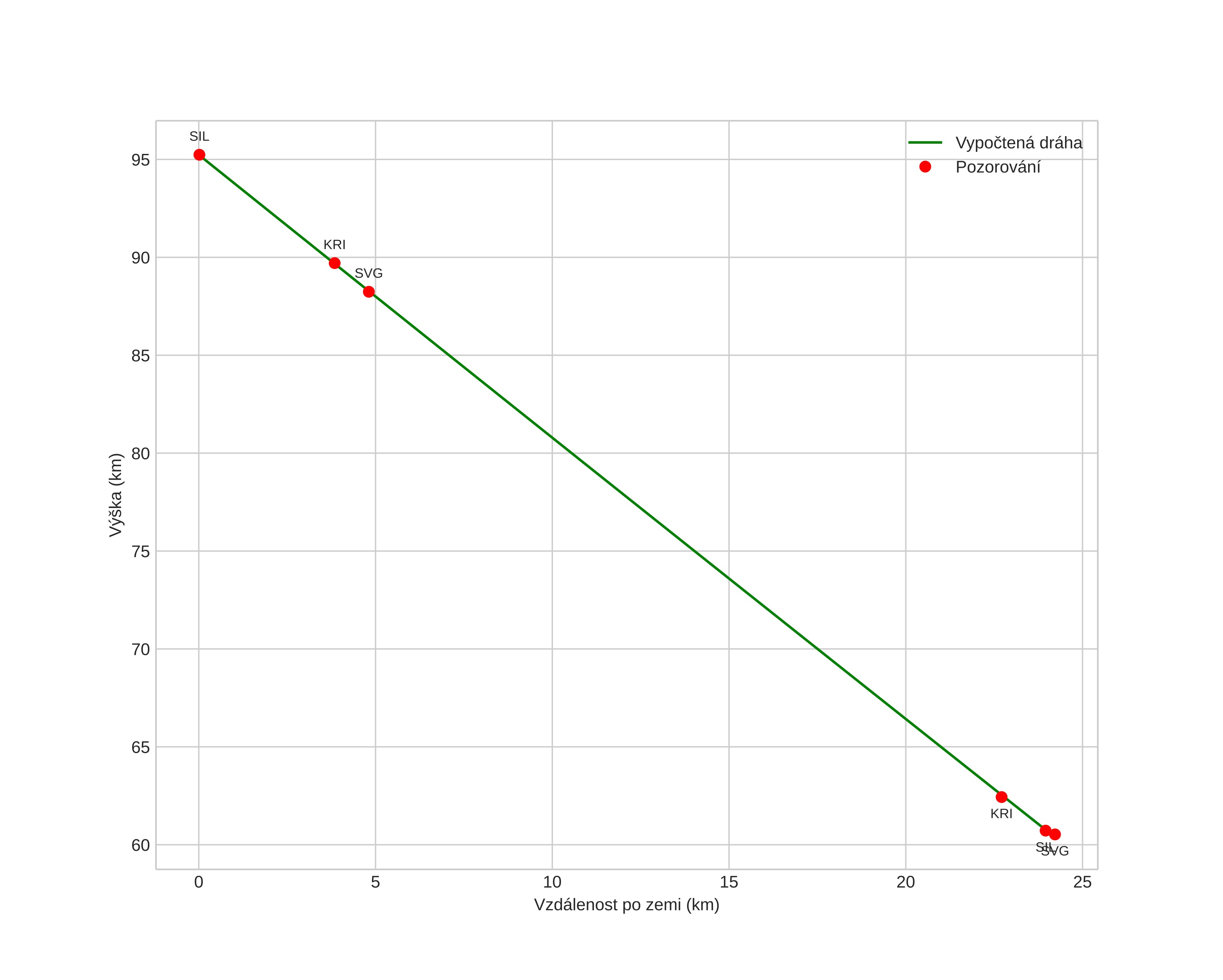
Atmosférická dráha meteoru:
Počáteční výška: 95,2 km
Konečná výška: 60,5 km
Počáteční poloha: 56,401N 8,868E
Konečná poloha: 56,597N 8,698E
Směr: 334,5°
Sklon: 55,2°
VstupnĂ­ rychlost: 31,6 km/s
Rektascenze radiantu: 03:47 (56,9°)
Deklinace radiantu: 22,2°
MeteorickĂ˝ roj: SevernĂ­ Tauridy
Elementy dráhy meteoroidu:
Vzdálenost v periheliu: 0,324 AU
Excentricita: 0,854
Sklon dráhy: 2,8°
Délka vzestupného uzlu: 226,2°
Argument perihelia: 297,5°
Střední anomálie: 347,7°
Epocha: 2018 NOV 08 22:59:43
orbit plot

NeinteraktivnĂ­ graf | InteraktivnĂ­ graf

position vs time
speed and acceleration