🇳🇴 🇬🇧 🇩🇪 🇨🇿 🇫🇮

Meteor Vinderupin yllä 2018-11-08 22:59:43 UTC

KML-tiedosto  |  Interaktiivinen kartta

Kartta näyttää meteorin suuntahavainnot. Vaaleammat viivat näyttävät suunnat havaintoasemilta meteorin ilmestyessä, ja tummemmat viivat näyttävät, missä se viimeksi nähtiin. Sininen nuoli näyttää meteorin näkyvän lennon.

static map
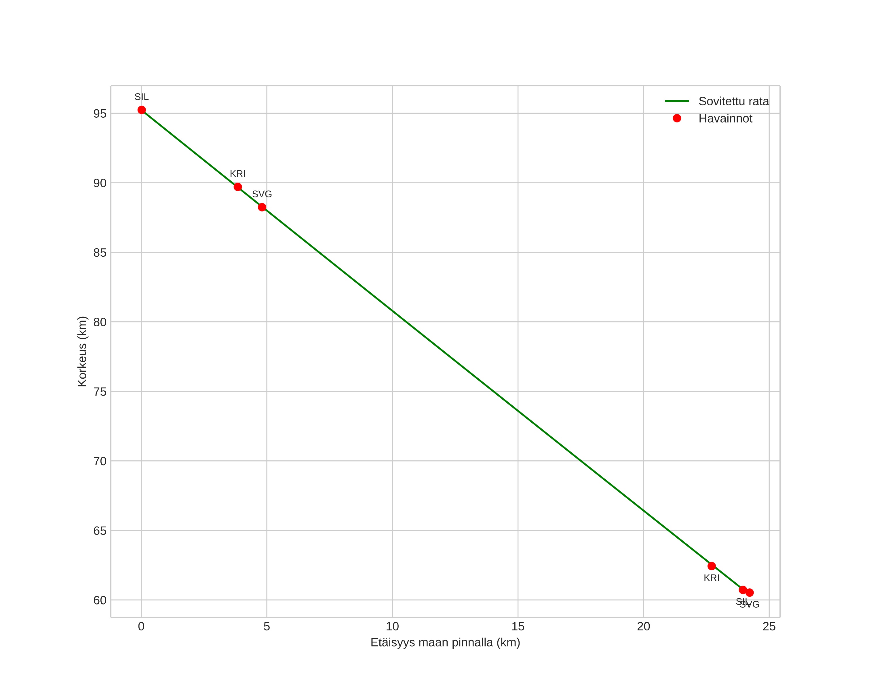
height profile
Meteorin ilmakehärata:
Alkukorkeus: 95,2 km
Loppukorkeus: 60,5 km
Alkupiste: 56,401N 8,868E
Loppupiste: 56,597N 8,698E
Suunta: 334,5°
Kallistuskulma: 55,2°
Tulonopeus: 31,6 km/s
Radiantin R,A,: 03:47 (56,9°)
Radiantin Dekl,: 22,2°
Meteoriparvi: Pohjoiset tauridit
Meteoroidin rataelementit:
Perihelietäisyys: 0,324 AU
Eksentrisyys: 0,854
Inklinaatio: 2,8°
Nousevan solmun pituus: 226,2°
Perihelin argumentti: 297,5°
Keskianomalia: 347,7°
Epookki: 2018 NOV 08 22:59:43
orbit plot

Ei-interaktiivinen kuvaaja | Interaktiivinen kuvaaja

position vs time
speed and acceleration