🇳🇴 🇬🇧 🇩🇪 🇨🇿 🇫🇮

Meteor, poloha: Sortland 2018-11-15 20:40:36 UTC

Soubor KML  |  InteraktivnĂ­ mapa

Mapa zobrazuje dráhy meteoru. Světlejší čáry ukazují směry od pozorovacích stanic při objevení se meteoru a tmavší čáry, kde byl naposledy viděn. Modrá šipka značí viditelnou dráhu meteoru.

static map
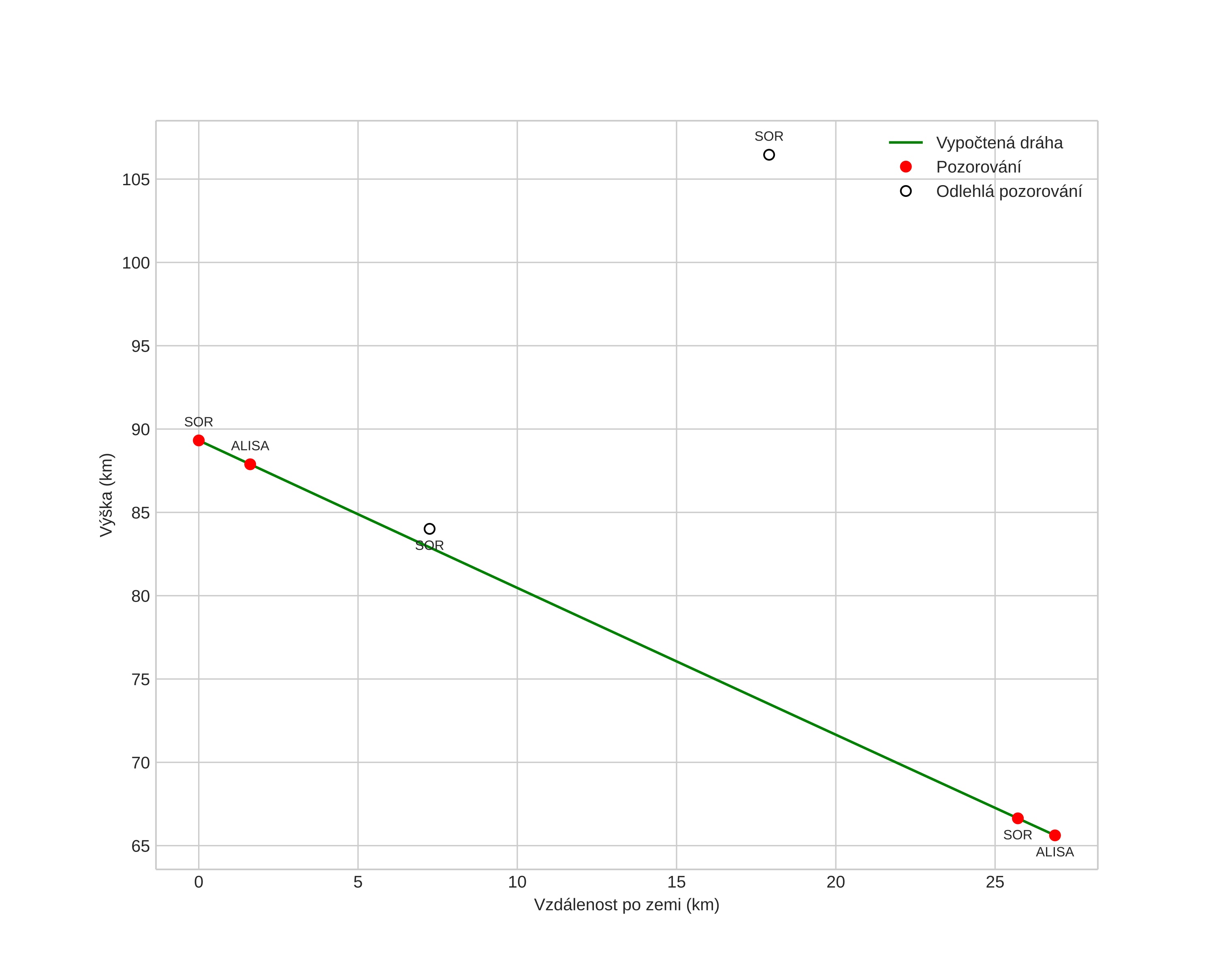
height profile
Atmosférická dráha meteoru:
Počáteční výška: 89,3 km
Konečná výška: 65,6 km
Počáteční poloha: 68,713N 16,175E
Konečná poloha: 68,873N 15,673E
Směr: 311,5°
Sklon: 41,4°
VstupnĂ­ rychlost: 30,3 km/s
Rektascenze radiantu: 03:59 (59,8°)
Deklinace radiantu: 24,0°
MeteorickĂ˝ roj: SevernĂ­ Tauridy
Elementy dráhy meteoroidu:
Vzdálenost v periheliu: 0,392 AU
Excentricita: 0,843
Sklon dráhy: 3,8°
Délka vzestupného uzlu: 233,1°
Argument perihelia: 288,7°
Střední anomálie: 349,5°
Epocha: 2018 NOV 15 20:40:36
orbit plot

NeinteraktivnĂ­ graf | InteraktivnĂ­ graf

position vs time
speed and acceleration