🇳🇴 🇬🇧 🇩🇪 🇨🇿 🇫🇮

Meteor Sortlandin yllä 2018-11-15 20:40:36 UTC

KML-tiedosto  |  Interaktiivinen kartta

Kartta näyttää meteorin suuntahavainnot. Vaaleammat viivat näyttävät suunnat havaintoasemilta meteorin ilmestyessä, ja tummemmat viivat näyttävät, missä se viimeksi nähtiin. Sininen nuoli näyttää meteorin näkyvän lennon.

static map
height profile
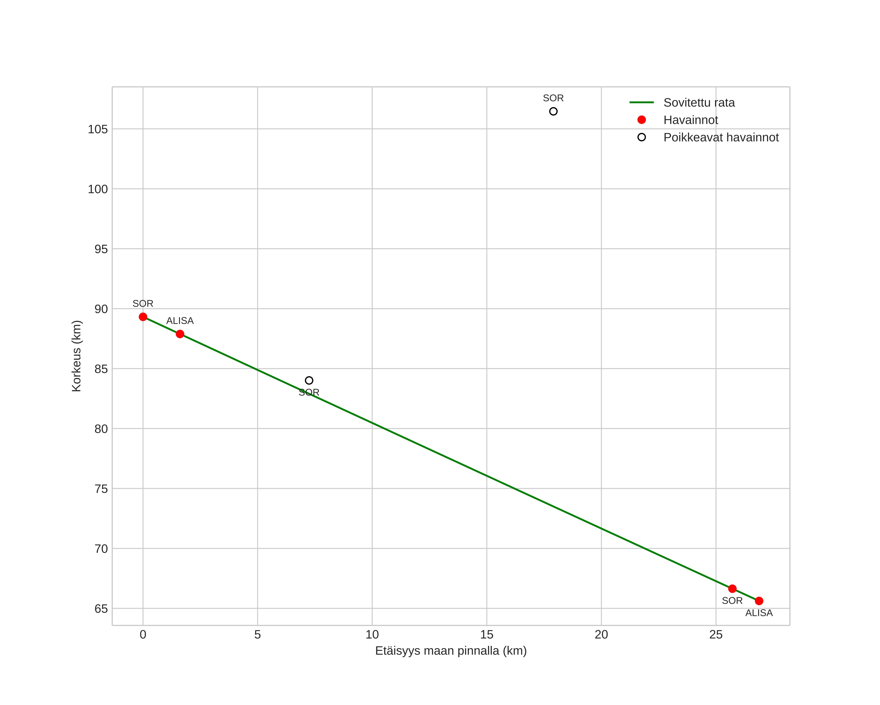
Meteorin ilmakehärata:
Alkukorkeus: 89,3 km
Loppukorkeus: 65,6 km
Alkupiste: 68,713N 16,175E
Loppupiste: 68,873N 15,673E
Suunta: 311,5°
Kallistuskulma: 41,4°
Tulonopeus: 30,3 km/s
Radiantin R,A,: 03:59 (59,8°)
Radiantin Dekl,: 24,0°
Meteoriparvi: Pohjoiset tauridit
Meteoroidin rataelementit:
Perihelietäisyys: 0,392 AU
Eksentrisyys: 0,843
Inklinaatio: 3,8°
Nousevan solmun pituus: 233,1°
Perihelin argumentti: 288,7°
Keskianomalia: 349,5°
Epookki: 2018 NOV 15 20:40:36
orbit plot

Ei-interaktiivinen kuvaaja | Interaktiivinen kuvaaja

position vs time
speed and acceleration