🇳🇴 🇬🇧 🇩🇪 🇨🇿 🇫🇮

Meteor, poloha: Jokkmokk 2018-11-18 18:50:05 UTC

Soubor KML  |  InteraktivnĂ­ mapa

Mapa zobrazuje dráhy meteoru. Světlejší čáry ukazují směry od pozorovacích stanic při objevení se meteoru a tmavší čáry, kde byl naposledy viděn. Modrá šipka značí viditelnou dráhu meteoru.

static map
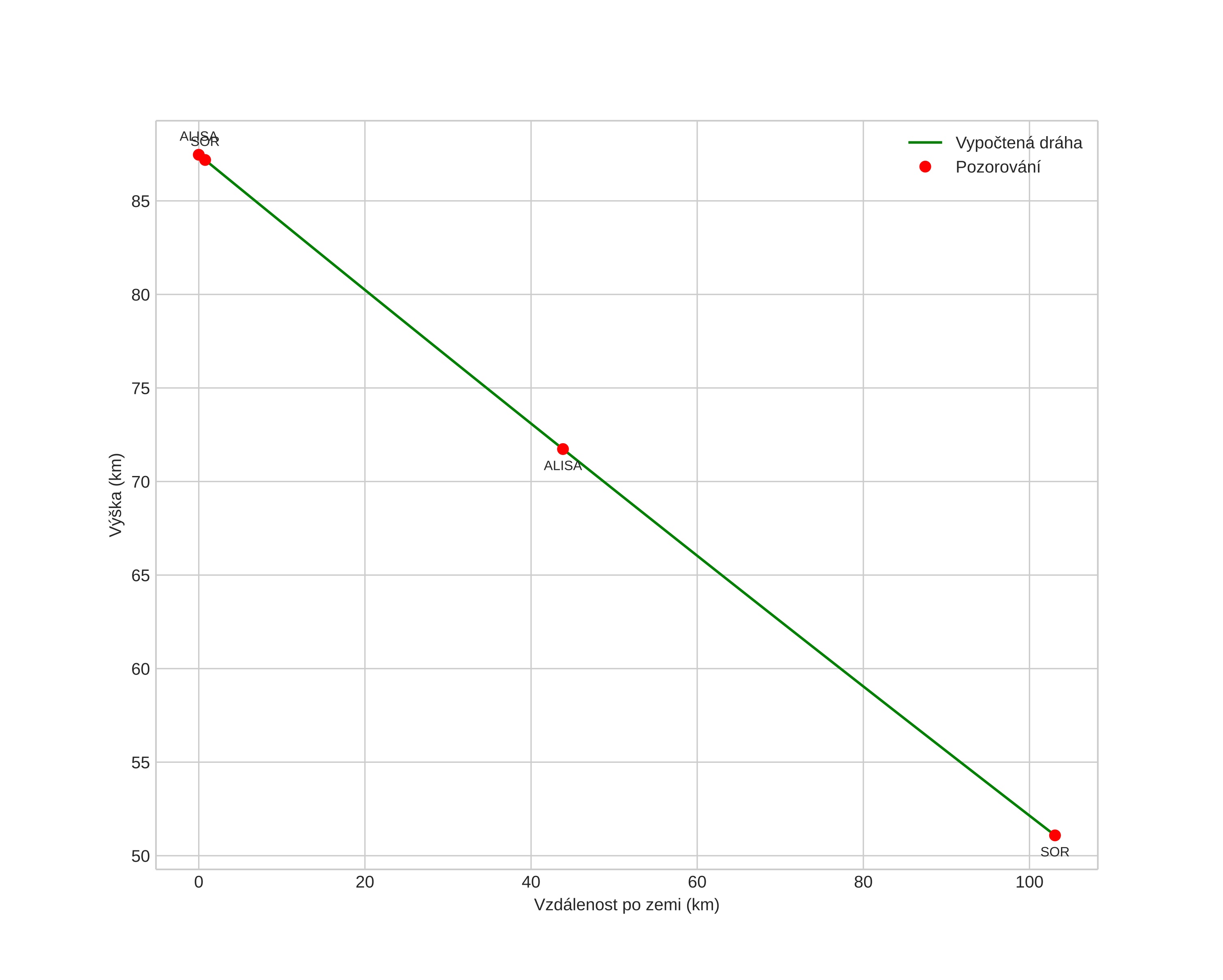
height profile
Atmosférická dráha meteoru:
Počáteční výška: 87,5 km
Konečná výška: 51,1 km
Počáteční poloha: 66,985N 21,195E
Konečná poloha: 66,255N 19,758E
Směr: 218,6°
Sklon: 19,5°
VstupnĂ­ rychlost: 59,4 km/s
Rektascenze radiantu: 08:57 (134,4°)
Deklinace radiantu: 35,9°
MeteorickĂ˝ roj: sporadickĂ˝
Elementy dráhy meteoroidu:
Vzdálenost v periheliu: 0,555 AU
Excentricita: 0,607
Sklon dráhy: 140,9°
Délka vzestupného uzlu: 236,1°
Argument perihelia: 279,2°
Střední anomálie: 329,9°
Epocha: 2018 NOV 18 18:50:05
orbit plot

NeinteraktivnĂ­ graf | InteraktivnĂ­ graf

position vs time
speed and acceleration