🇳🇴 🇬🇧 🇩🇪 🇨🇿 🇫🇮

Meteor Jokkmokkin yllä 2018-11-18 18:50:05 UTC

KML-tiedosto  |  Interaktiivinen kartta

Kartta näyttää meteorin suuntahavainnot. Vaaleammat viivat näyttävät suunnat havaintoasemilta meteorin ilmestyessä, ja tummemmat viivat näyttävät, missä se viimeksi nähtiin. Sininen nuoli näyttää meteorin näkyvän lennon.

static map
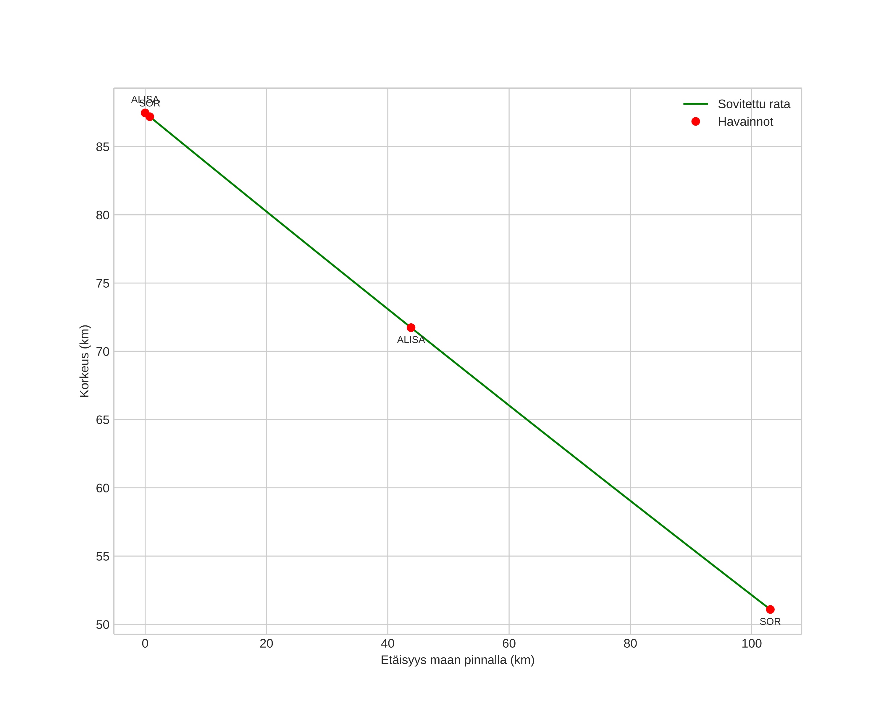
height profile
Meteorin ilmakehärata:
Alkukorkeus: 87,5 km
Loppukorkeus: 51,1 km
Alkupiste: 66,985N 21,195E
Loppupiste: 66,255N 19,758E
Suunta: 218,6°
Kallistuskulma: 19,5°
Tulonopeus: 59,4 km/s
Radiantin R,A,: 08:57 (134,4°)
Radiantin Dekl,: 35,9°
Meteoriparvi: Sporadinen
Meteoroidin rataelementit:
Perihelietäisyys: 0,555 AU
Eksentrisyys: 0,607
Inklinaatio: 140,9°
Nousevan solmun pituus: 236,1°
Perihelin argumentti: 279,2°
Keskianomalia: 329,9°
Epookki: 2018 NOV 18 18:50:05
orbit plot

Ei-interaktiivinen kuvaaja | Interaktiivinen kuvaaja

position vs time
speed and acceleration