🇳🇴 🇬🇧 🇩🇪 🇨🇿 🇫🇮

Meteor, poloha: Jokkmokk 2018-11-19 02:17:18 UTC

Soubor KML  |  InteraktivnĂ­ mapa

Mapa zobrazuje dráhy meteoru. Světlejší čáry ukazují směry od pozorovacích stanic při objevení se meteoru a tmavší čáry, kde byl naposledy viděn. Modrá šipka značí viditelnou dráhu meteoru.

static map
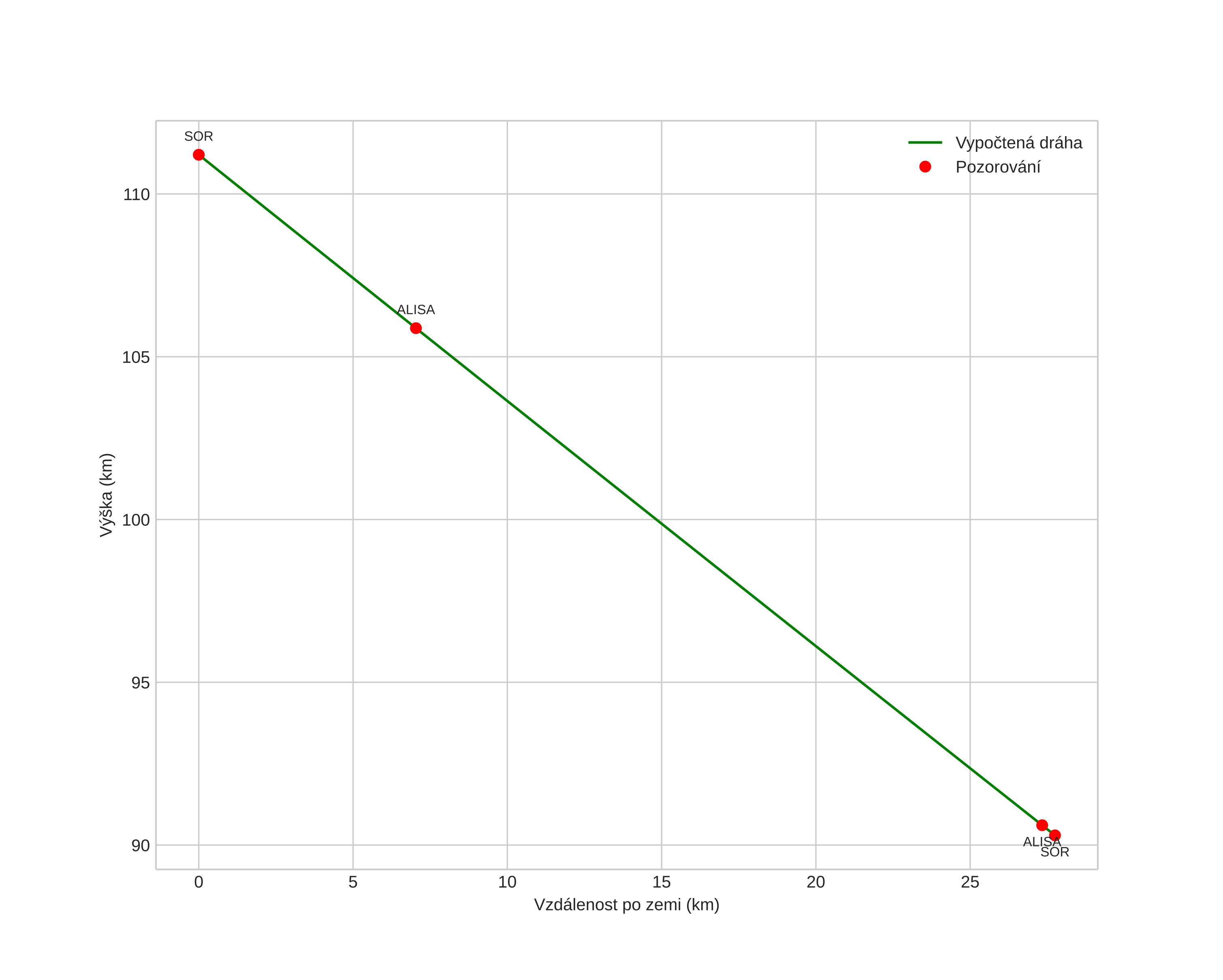
height profile
Atmosférická dráha meteoru:
Počáteční výška: 111,2 km
Konečná výška: 90,3 km
Počáteční poloha: 67,101N 19,680E
Konečná poloha: 67,262N 19,190E
Směr: 310,6°
Sklon: 37,0°
VstupnĂ­ rychlost: 76,5 km/s
Rektascenze radiantu: 10:08 (152,1°)
Deklinace radiantu: 20,4°
MeteorickĂ˝ roj: Leonidy
Elementy dráhy meteoroidu:
Vzdálenost v periheliu: 0,988 AU
Excentricita: 1,360
Sklon dráhy: 166,2°
Délka vzestupného uzlu: 236,4°
Argument perihelia: 179,7°
Střední anomálie: 0,0°
Epocha: 2018 NOV 19 02:17:18
orbit plot

NeinteraktivnĂ­ graf | InteraktivnĂ­ graf

position vs time
speed and acceleration