🇳🇴 🇬🇧 🇩🇪 🇨🇿 🇫🇮

Meteor Jokkmokkin yllä 2018-11-19 02:17:18 UTC

KML-tiedosto  |  Interaktiivinen kartta

Kartta näyttää meteorin suuntahavainnot. Vaaleammat viivat näyttävät suunnat havaintoasemilta meteorin ilmestyessä, ja tummemmat viivat näyttävät, missä se viimeksi nähtiin. Sininen nuoli näyttää meteorin näkyvän lennon.

static map
height profile
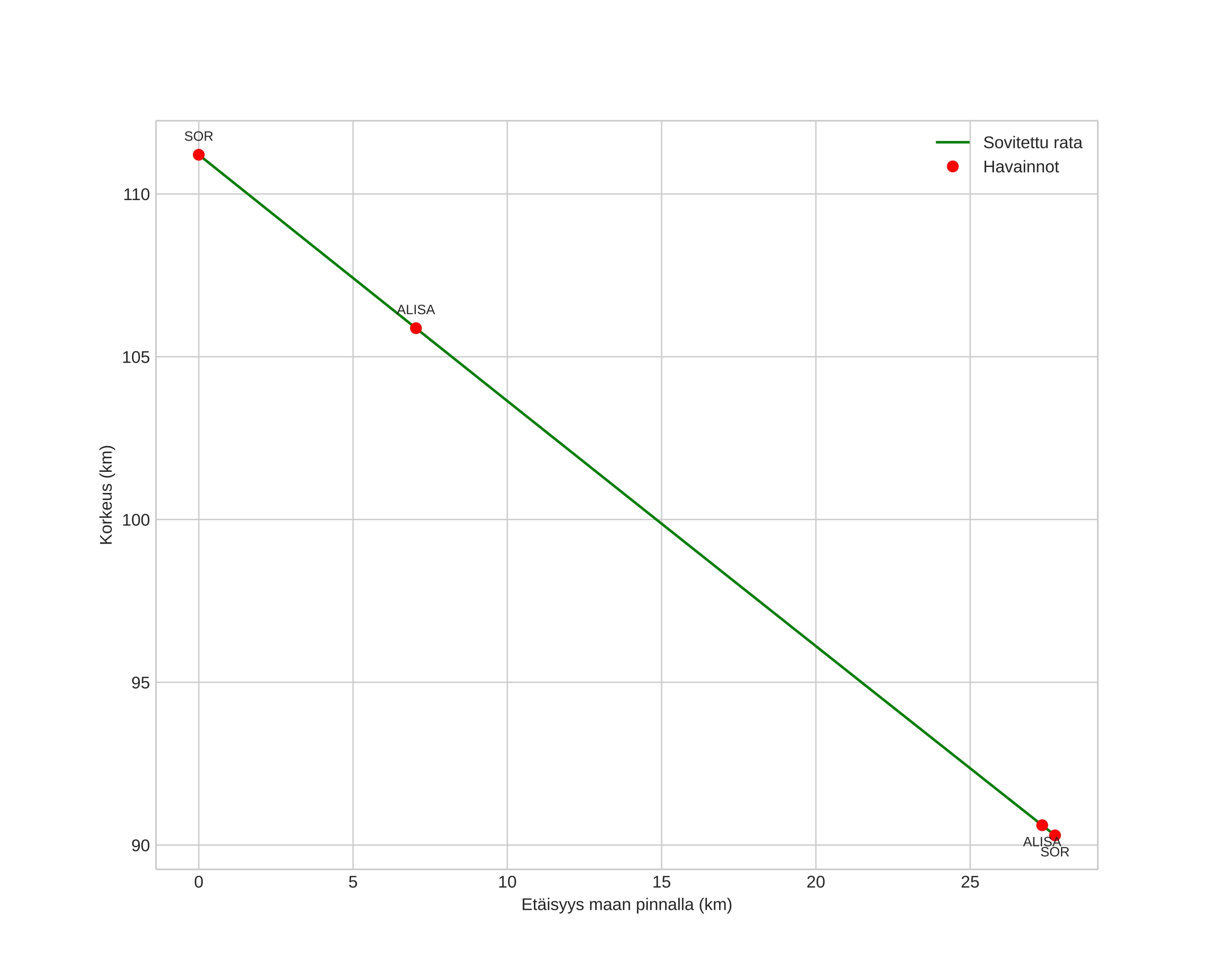
Meteorin ilmakehärata:
Alkukorkeus: 111,2 km
Loppukorkeus: 90,3 km
Alkupiste: 67,101N 19,680E
Loppupiste: 67,262N 19,190E
Suunta: 310,6°
Kallistuskulma: 37,0°
Tulonopeus: 76,5 km/s
Radiantin R,A,: 10:08 (152,1°)
Radiantin Dekl,: 20,4°
Meteoriparvi: Leonidit
Meteoroidin rataelementit:
Perihelietäisyys: 0,988 AU
Eksentrisyys: 1,360
Inklinaatio: 166,2°
Nousevan solmun pituus: 236,4°
Perihelin argumentti: 179,7°
Keskianomalia: 0,0°
Epookki: 2018 NOV 19 02:17:18
orbit plot

Ei-interaktiivinen kuvaaja | Interaktiivinen kuvaaja

position vs time
speed and acceleration