🇳🇴 🇬🇧 🇩🇪 🇨🇿 🇫🇮

Meteor, poloha: Bogen 2018-11-19 02:43:35 UTC

Soubor KML  |  InteraktivnĂ­ mapa

Mapa zobrazuje dráhy meteoru. Světlejší čáry ukazují směry od pozorovacích stanic při objevení se meteoru a tmavší čáry, kde byl naposledy viděn. Modrá šipka značí viditelnou dráhu meteoru.

static map
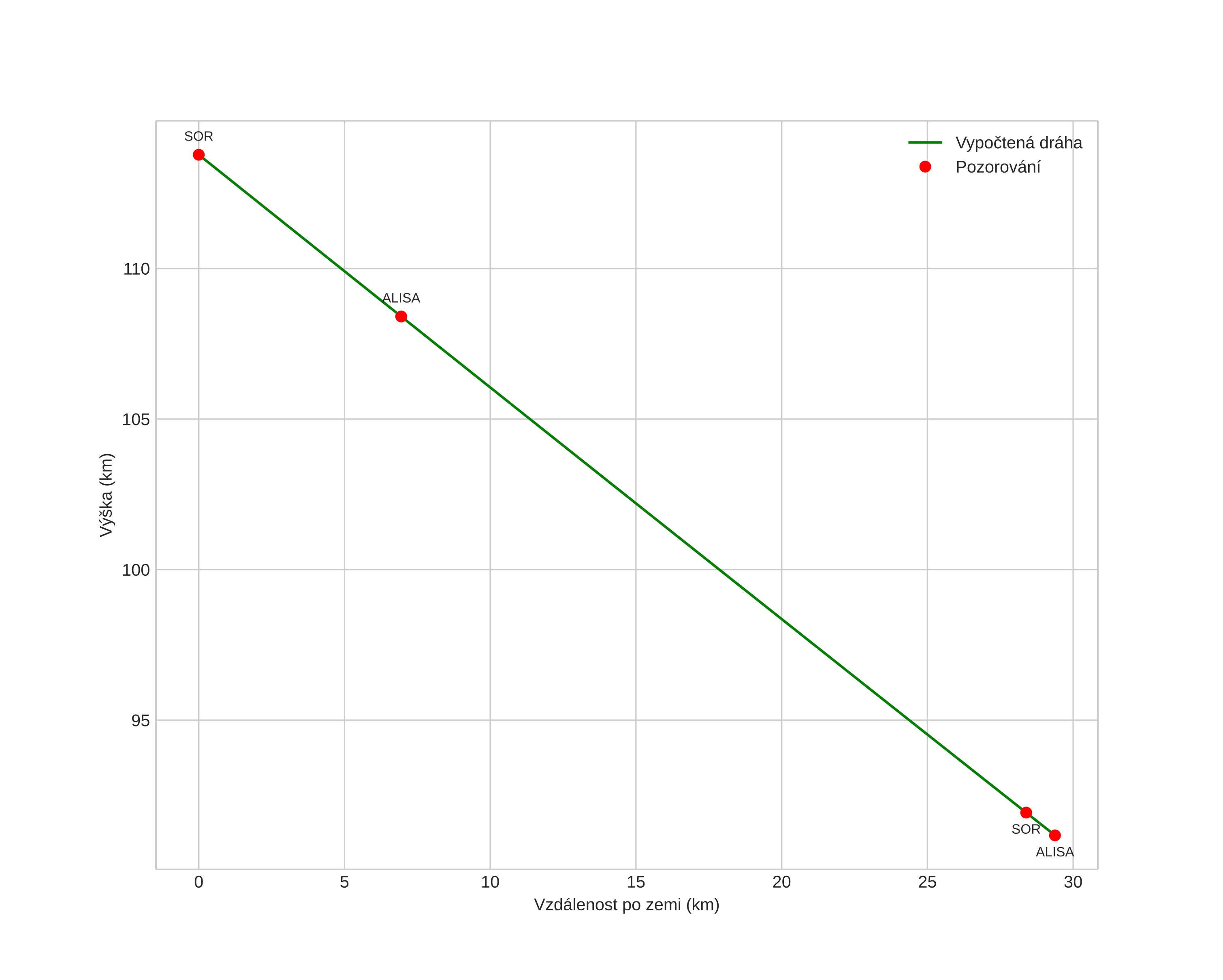
height profile
Atmosférická dráha meteoru:
Počáteční výška: 113,8 km
Konečná výška: 91,2 km
Počáteční poloha: 68,314N 17,732E
Konečná poloha: 68,491N 17,198E
Směr: 312,2°
Sklon: 37,6°
VstupnĂ­ rychlost: 68,4 km/s
Rektascenze radiantu: 10:22 (155,5°)
Deklinace radiantu: 21,4°
MeteorickĂ˝ roj: Leonidy
Elementy dráhy meteoroidu:
Vzdálenost v periheliu: 0,980 AU
Excentricita: 0,629
Sklon dráhy: 161,2°
Délka vzestupného uzlu: 236,5°
Argument perihelia: 167,8°
Střední anomálie: 2,2°
Epocha: 2018 NOV 19 02:43:35
orbit plot

NeinteraktivnĂ­ graf | InteraktivnĂ­ graf

position vs time
speed and acceleration