🇳🇴 🇬🇧 🇩🇪 🇨🇿 🇫🇮

Meteor über Bogen 2018-11-19 02:43:35 UTC

KML-Datei  |  Interaktive Karte

Die Karte zeigt die Peilungen für den Meteor. Die helleren Linien zeigen die Richtungen von den Beobachtungsorten beim Erscheinen des Meteors, und die dunkleren Linien, wo er zuletzt gesehen wurde. Der blaue Pfeil zeigt die sichtbare Bahn des Meteors.

static map
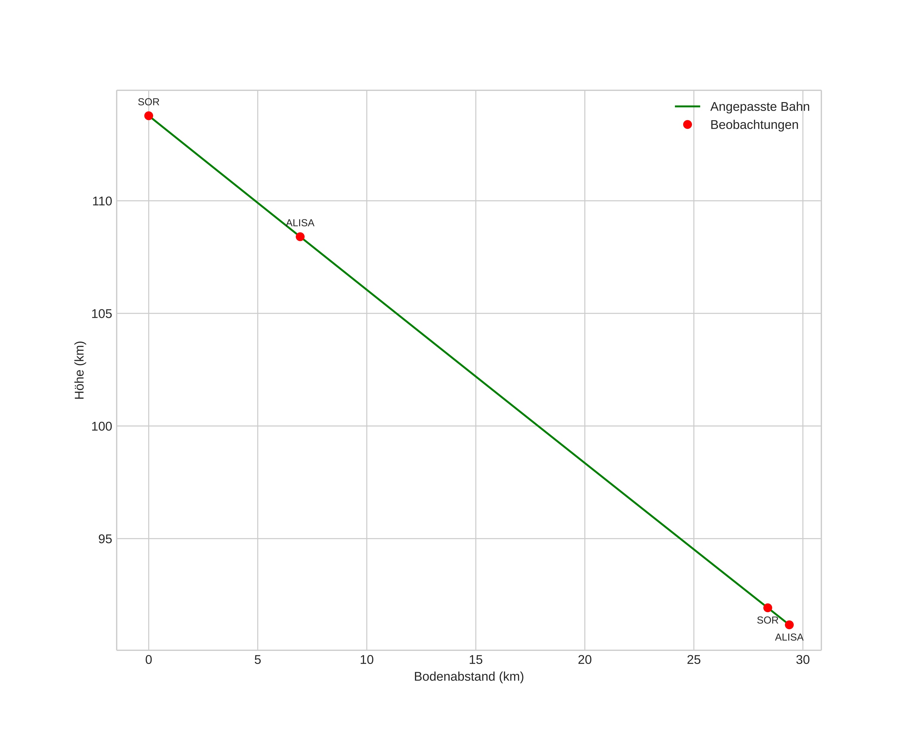
height profile
Atmosphärische Bahn des Meteors:
Anfangshöhe: 113,8 km
Endhöhe: 91,2 km
Startposition: 68,314N 17,732E
Endposition: 68,491N 17,198E
Richtung: 312,2°
Neigungswinkel: 37,6°
Eintrittsgeschwindigkeit: 68,4 km/s
Rektaszension des Radianten: 10:22 (155,5°)
Deklination des Radianten: 21,4°
Meteorstrom: Leoniden
Bahnelemente des Meteoroiden:
Periheldistanz: 0,980 AU
Exzentrizität: 0,629
Inklination: 161,2°
Länge des aufsteigenden Knotens: 236,5°
Argument des Perihels: 167,8°
Mittlere Anomalie: 2,2°
Epoche: 2018 NOV 19 02:43:35
orbit plot

Nicht-interaktives Diagramm | Interaktives Diagramm

position vs time
speed and acceleration