🇳🇴 🇬🇧 🇩🇪 🇨🇿 🇫🇮

Meteor, poloha: Bodø 2018-11-19 03:36:13 UTC

Soubor KML  |  InteraktivnĂ­ mapa

Mapa zobrazuje dráhy meteoru. Světlejší čáry ukazují směry od pozorovacích stanic při objevení se meteoru a tmavší čáry, kde byl naposledy viděn. Modrá šipka značí viditelnou dráhu meteoru.

static map
height profile
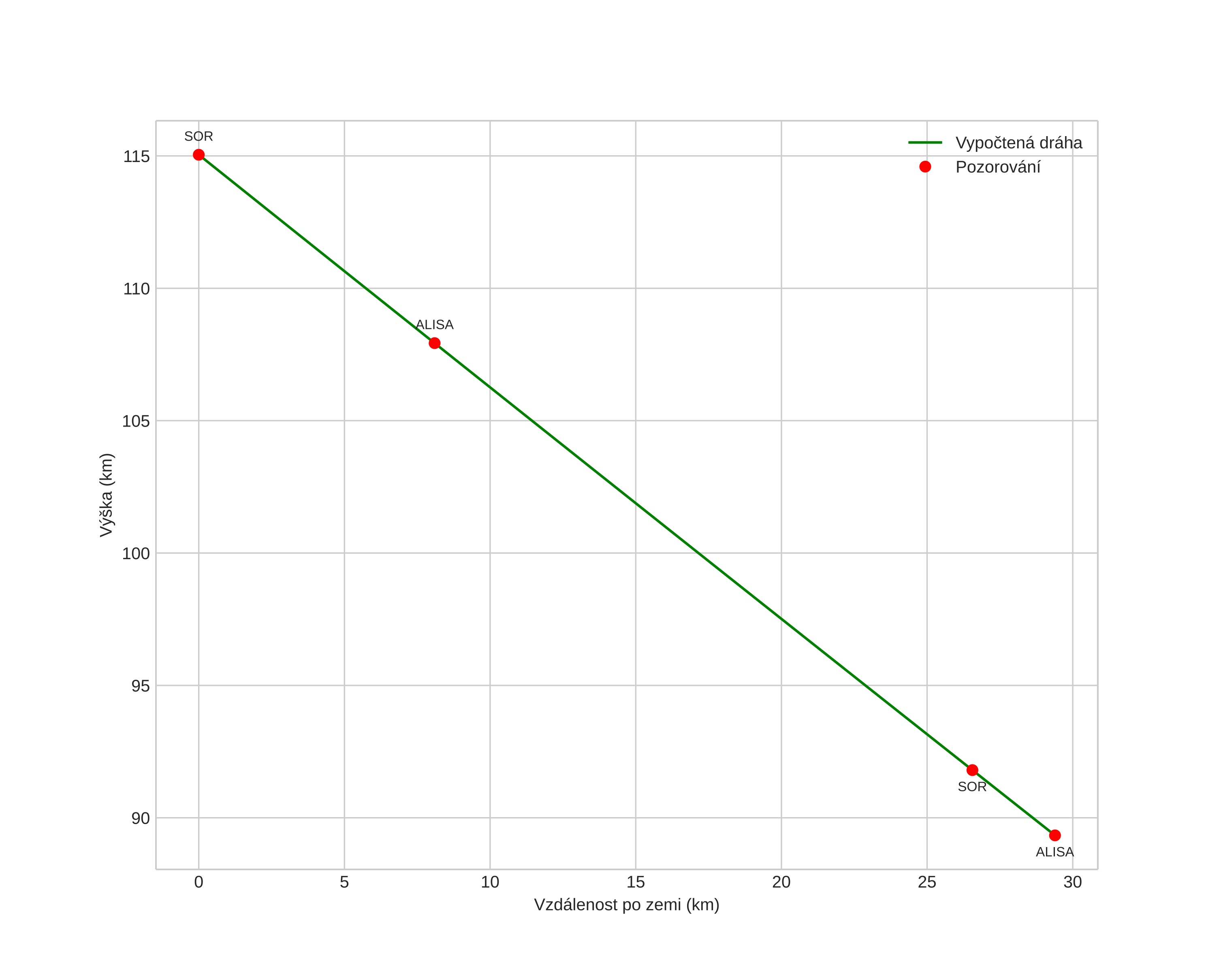
Atmosférická dráha meteoru:
Počáteční výška: 115,0 km
Konečná výška: 89,3 km
Počáteční poloha: 67,052N 14,793E
Konečná poloha: 67,273N 14,419E
Směr: 326,9°
Sklon: 41,2°
VstupnĂ­ rychlost: 75,3 km/s
Rektascenze radiantu: 10:10 (152,7°)
Deklinace radiantu: 20,9°
MeteorickĂ˝ roj: Leonidy
Elementy dráhy meteoroidu:
Vzdálenost v periheliu: 0,988 AU
Excentricita: 1,244
Sklon dráhy: 165,0°
Délka vzestupného uzlu: 236,5°
Argument perihelia: 178,9°
Střední anomálie: 0,1°
Epocha: 2018 NOV 19 03:36:13
orbit plot

NeinteraktivnĂ­ graf | InteraktivnĂ­ graf

position vs time
speed and acceleration