🇳🇴 🇬🇧 🇩🇪 🇨🇿 🇫🇮

Meteor Bodøin yllä 2018-11-19 03:36:13 UTC

KML-tiedosto  |  Interaktiivinen kartta

Kartta näyttää meteorin suuntahavainnot. Vaaleammat viivat näyttävät suunnat havaintoasemilta meteorin ilmestyessä, ja tummemmat viivat näyttävät, missä se viimeksi nähtiin. Sininen nuoli näyttää meteorin näkyvän lennon.

static map
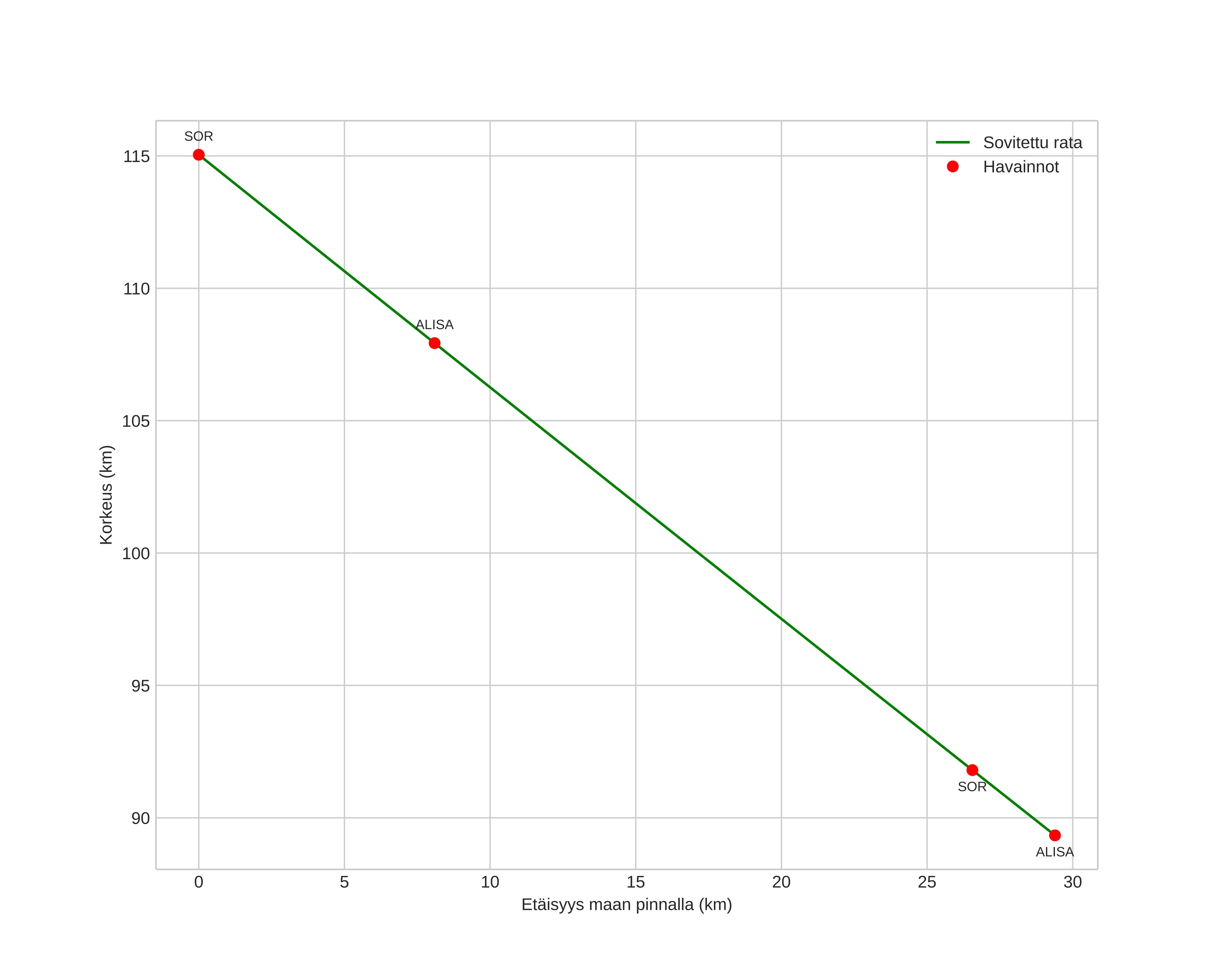
height profile
Meteorin ilmakehärata:
Alkukorkeus: 115,0 km
Loppukorkeus: 89,3 km
Alkupiste: 67,052N 14,793E
Loppupiste: 67,273N 14,419E
Suunta: 326,9°
Kallistuskulma: 41,2°
Tulonopeus: 75,3 km/s
Radiantin R,A,: 10:10 (152,7°)
Radiantin Dekl,: 20,9°
Meteoriparvi: Leonidit
Meteoroidin rataelementit:
Perihelietäisyys: 0,988 AU
Eksentrisyys: 1,244
Inklinaatio: 165,0°
Nousevan solmun pituus: 236,5°
Perihelin argumentti: 178,9°
Keskianomalia: 0,1°
Epookki: 2018 NOV 19 03:36:13
orbit plot

Ei-interaktiivinen kuvaaja | Interaktiivinen kuvaaja

position vs time
speed and acceleration