🇳🇴 🇬🇧 🇩🇪 🇨🇿 🇫🇮

Meteor, poloha: Røst 2018-11-19 05:13:04 UTC

Soubor KML  |  InteraktivnĂ­ mapa

Mapa zobrazuje dráhy meteoru. Světlejší čáry ukazují směry od pozorovacích stanic při objevení se meteoru a tmavší čáry, kde byl naposledy viděn. Modrá šipka značí viditelnou dráhu meteoru.

static map
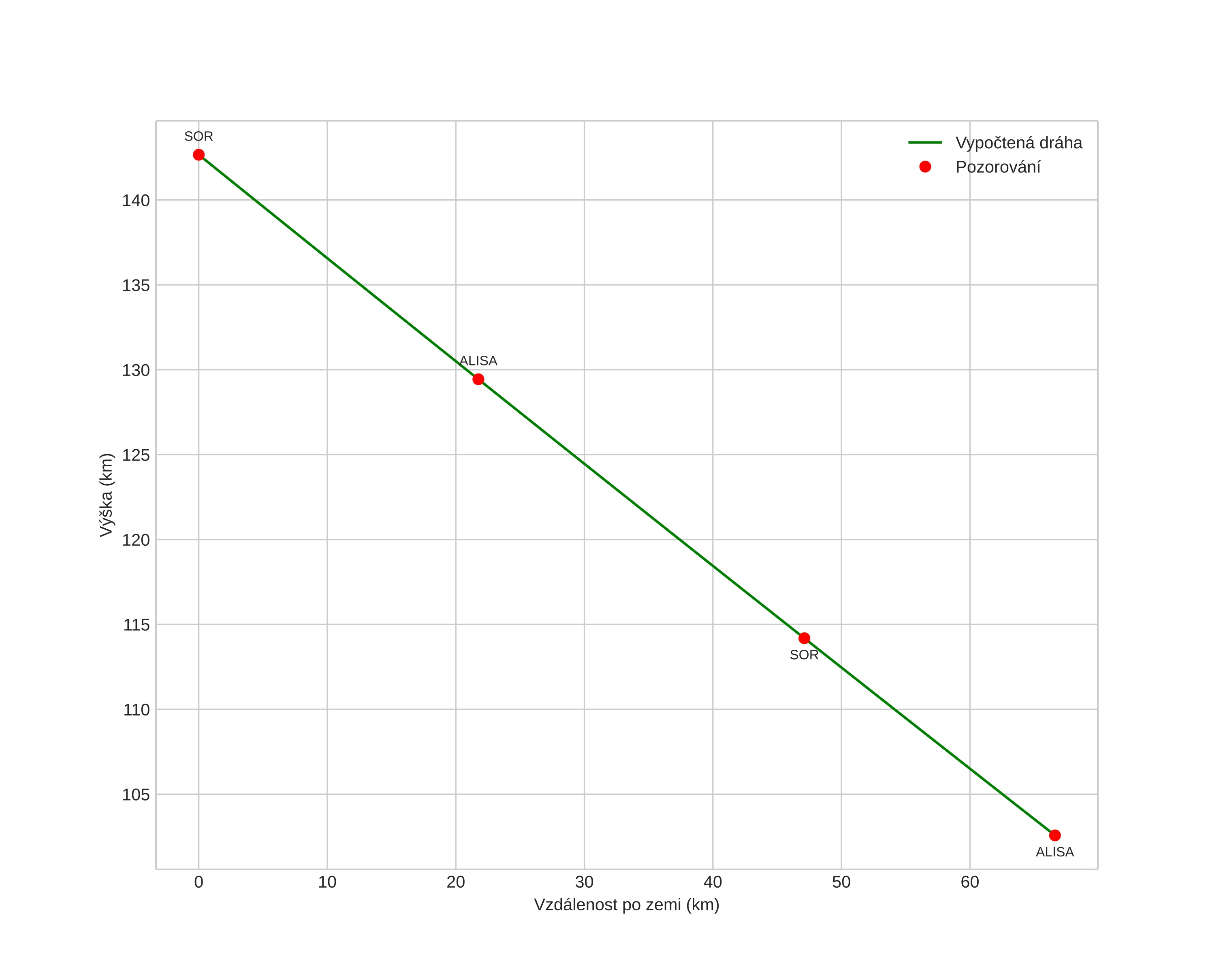
height profile
Atmosférická dráha meteoru:
Počáteční výška: 142,7 km
Konečná výška: 102,6 km
Počáteční poloha: 69,812N 11,812E
Konečná poloha: 70,362N 11,115E
Směr: 337,0°
Sklon: 31,0°
VstupnĂ­ rychlost: 98,3 km/s
Rektascenze radiantu: 11:11 (167,9°)
Deklinace radiantu: 12,1°
MeteorickĂ˝ roj: sporadickĂ˝
Elementy dráhy meteoroidu:
Vzdálenost v periheliu: 0,879 AU
Excentricita: 4,014
Sklon dráhy: 170,1°
Délka vzestupného uzlu: 236,6°
Argument perihelia: 149,5°
Střední anomálie: 77,3°
Epocha: 2018 NOV 19 05:13:04
orbit plot

NeinteraktivnĂ­ graf | InteraktivnĂ­ graf

position vs time
speed and acceleration