🇳🇴 🇬🇧 🇩🇪 🇨🇿 🇫🇮

Meteor Røstin yllä 2018-11-19 05:13:04 UTC

KML-tiedosto  |  Interaktiivinen kartta

Kartta näyttää meteorin suuntahavainnot. Vaaleammat viivat näyttävät suunnat havaintoasemilta meteorin ilmestyessä, ja tummemmat viivat näyttävät, missä se viimeksi nähtiin. Sininen nuoli näyttää meteorin näkyvän lennon.

static map
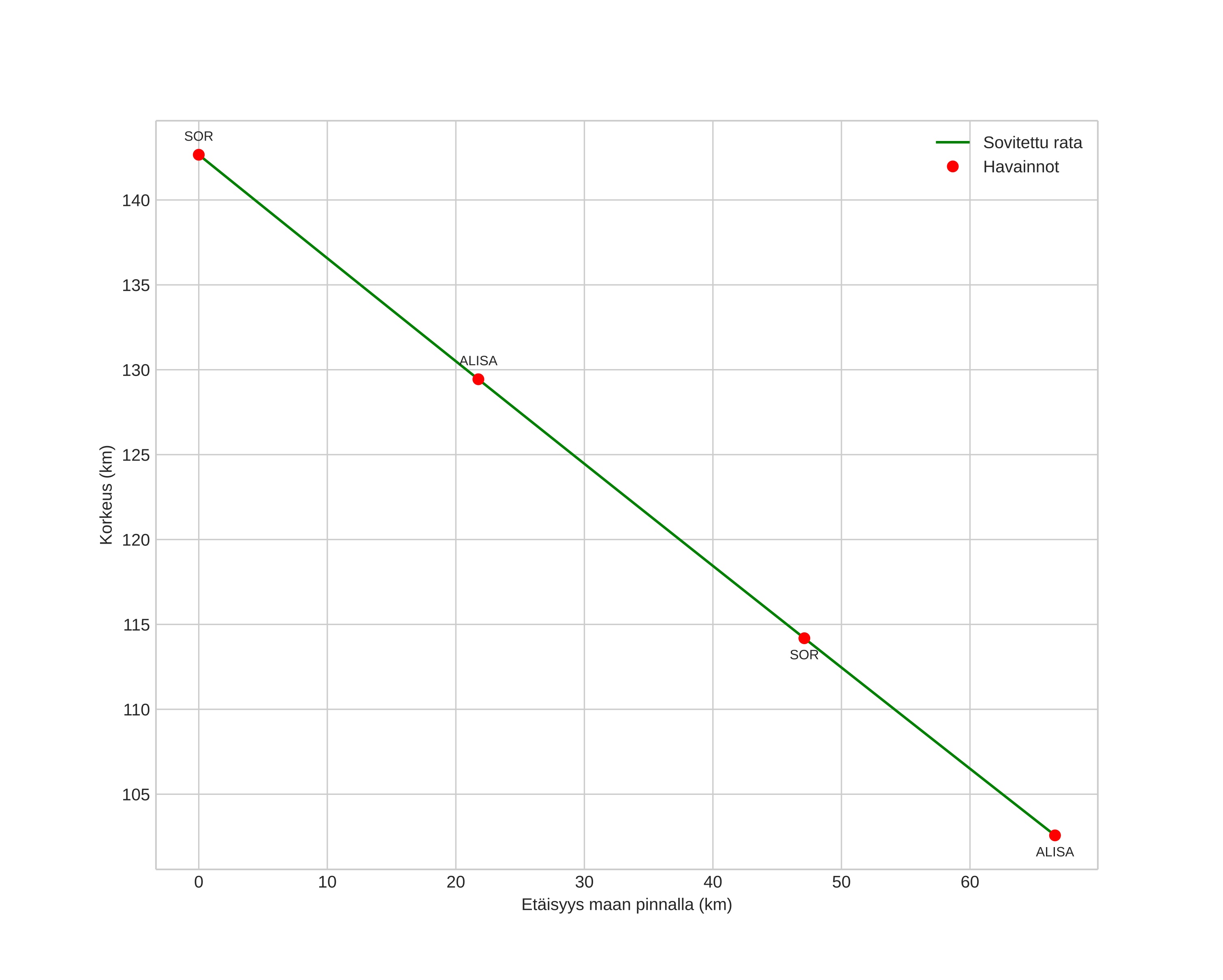
height profile
Meteorin ilmakehärata:
Alkukorkeus: 142,7 km
Loppukorkeus: 102,6 km
Alkupiste: 69,812N 11,812E
Loppupiste: 70,362N 11,115E
Suunta: 337,0°
Kallistuskulma: 31,0°
Tulonopeus: 98,3 km/s
Radiantin R,A,: 11:11 (167,9°)
Radiantin Dekl,: 12,1°
Meteoriparvi: Sporadinen
Meteoroidin rataelementit:
Perihelietäisyys: 0,879 AU
Eksentrisyys: 4,014
Inklinaatio: 170,1°
Nousevan solmun pituus: 236,6°
Perihelin argumentti: 149,5°
Keskianomalia: 77,3°
Epookki: 2018 NOV 19 05:13:04
orbit plot

Ei-interaktiivinen kuvaaja | Interaktiivinen kuvaaja

position vs time
speed and acceleration