🇳🇴 🇬🇧 🇩🇪 🇨🇿 🇫🇮

Meteor, poloha: Setermoen 2018-11-19 05:45:09 UTC

Soubor KML  |  InteraktivnĂ­ mapa

Mapa zobrazuje dráhy meteoru. Světlejší čáry ukazují směry od pozorovacích stanic při objevení se meteoru a tmavší čáry, kde byl naposledy viděn. Modrá šipka značí viditelnou dráhu meteoru.

static map
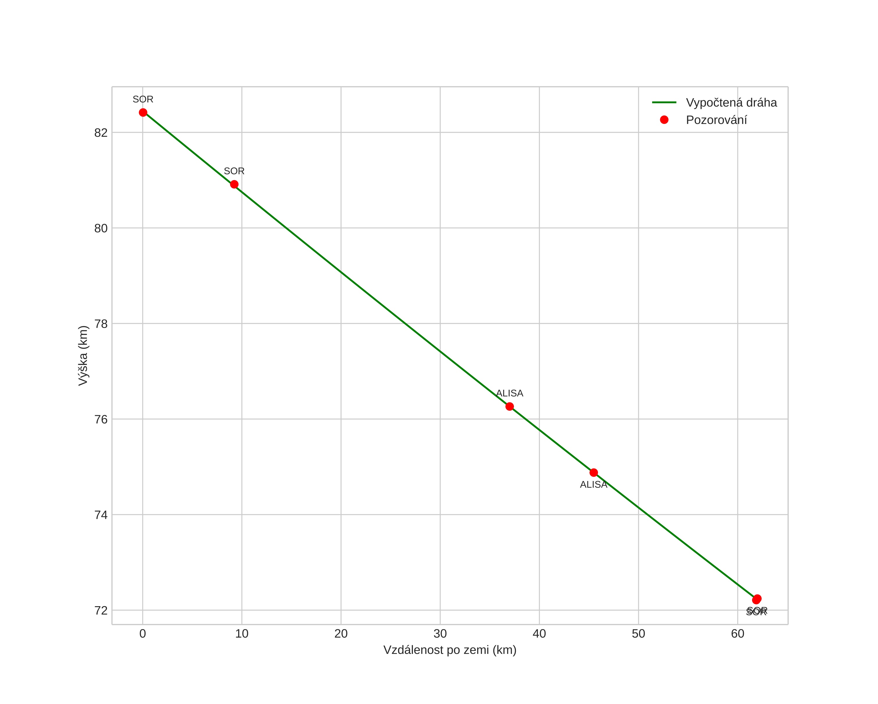
height profile
Atmosférická dráha meteoru:
Počáteční výška: 82,4 km
Konečná výška: 72,2 km
Počáteční poloha: 68,727N 17,219E
Konečná poloha: 68,347N 18,331E
Směr: 132,6°
Sklon: 9,3°
VstupnĂ­ rychlost: 17,1 km/s
Rektascenze radiantu: 02:00 (30,2°)
Deklinace radiantu: 10,5°
MeteorickĂ˝ roj: sporadickĂ˝
Elementy dráhy meteoroidu:
Vzdálenost v periheliu: 0,852 AU
Excentricita: 0,642
Sklon dráhy: 0,6°
Délka vzestupného uzlu: 56,8°
Argument perihelia: 49,4°
Střední anomálie: 350,8°
Epocha: 2018 NOV 19 05:45:09
orbit plot

NeinteraktivnĂ­ graf | InteraktivnĂ­ graf

position vs time
speed and acceleration