🇳🇴 🇬🇧 🇩🇪 🇨🇿 🇫🇮

Meteor Setermoenin yllä 2018-11-19 05:45:09 UTC

KML-tiedosto  |  Interaktiivinen kartta

Kartta näyttää meteorin suuntahavainnot. Vaaleammat viivat näyttävät suunnat havaintoasemilta meteorin ilmestyessä, ja tummemmat viivat näyttävät, missä se viimeksi nähtiin. Sininen nuoli näyttää meteorin näkyvän lennon.

static map
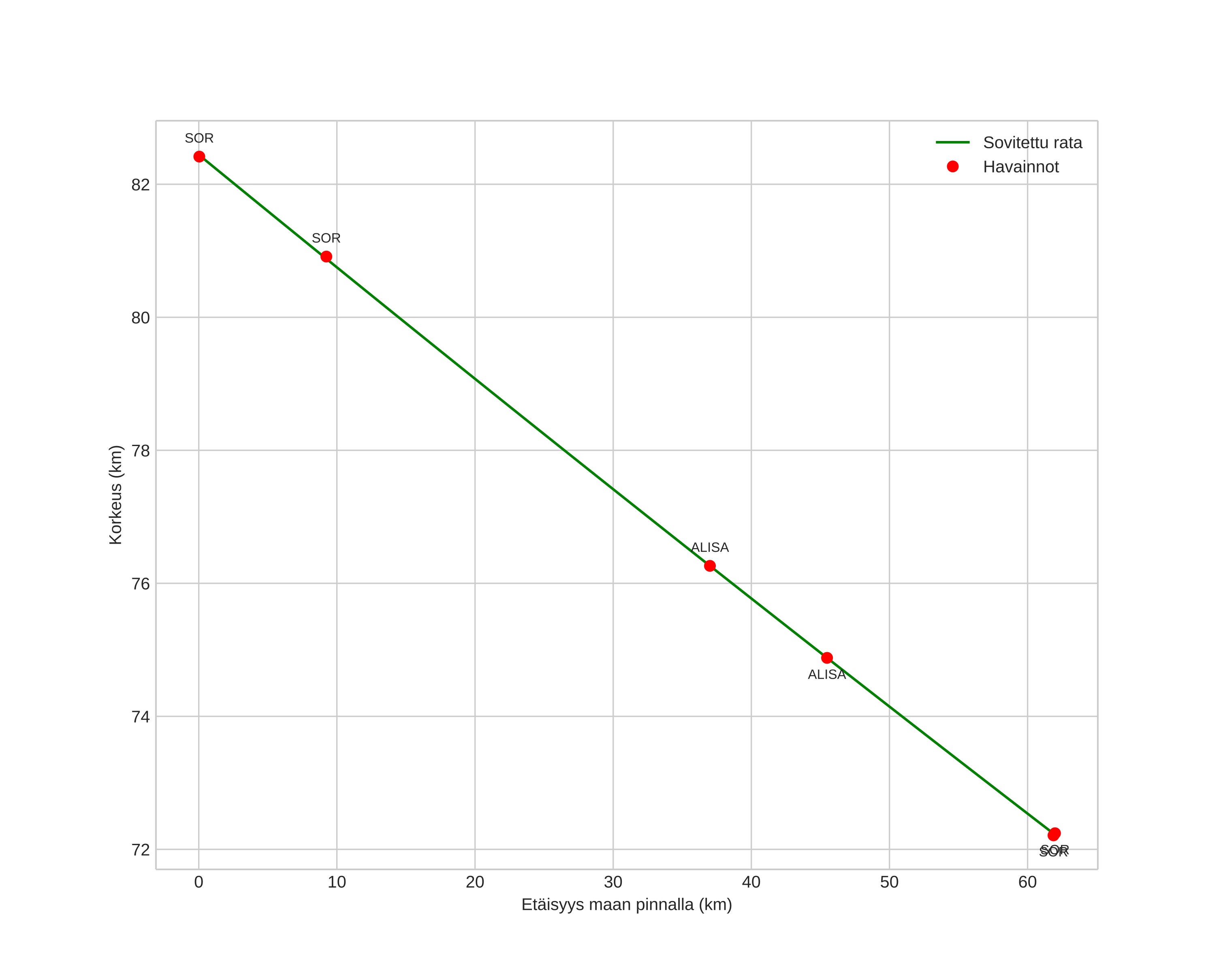
height profile
Meteorin ilmakehärata:
Alkukorkeus: 82,4 km
Loppukorkeus: 72,2 km
Alkupiste: 68,727N 17,219E
Loppupiste: 68,347N 18,331E
Suunta: 132,6°
Kallistuskulma: 9,3°
Tulonopeus: 17,1 km/s
Radiantin R,A,: 02:00 (30,2°)
Radiantin Dekl,: 10,5°
Meteoriparvi: Sporadinen
Meteoroidin rataelementit:
Perihelietäisyys: 0,852 AU
Eksentrisyys: 0,642
Inklinaatio: 0,6°
Nousevan solmun pituus: 56,8°
Perihelin argumentti: 49,4°
Keskianomalia: 350,8°
Epookki: 2018 NOV 19 05:45:09
orbit plot

Ei-interaktiivinen kuvaaja | Interaktiivinen kuvaaja

position vs time
speed and acceleration