🇳🇴 🇬🇧 🇩🇪 🇨🇿 🇫🇮

Meteor, poloha: Brøstadbotn 2018-11-22 16:51:05 UTC

Soubor KML  |  InteraktivnĂ­ mapa

Mapa zobrazuje dráhy meteoru. Světlejší čáry ukazují směry od pozorovacích stanic při objevení se meteoru a tmavší čáry, kde byl naposledy viděn. Modrá šipka značí viditelnou dráhu meteoru.

static map
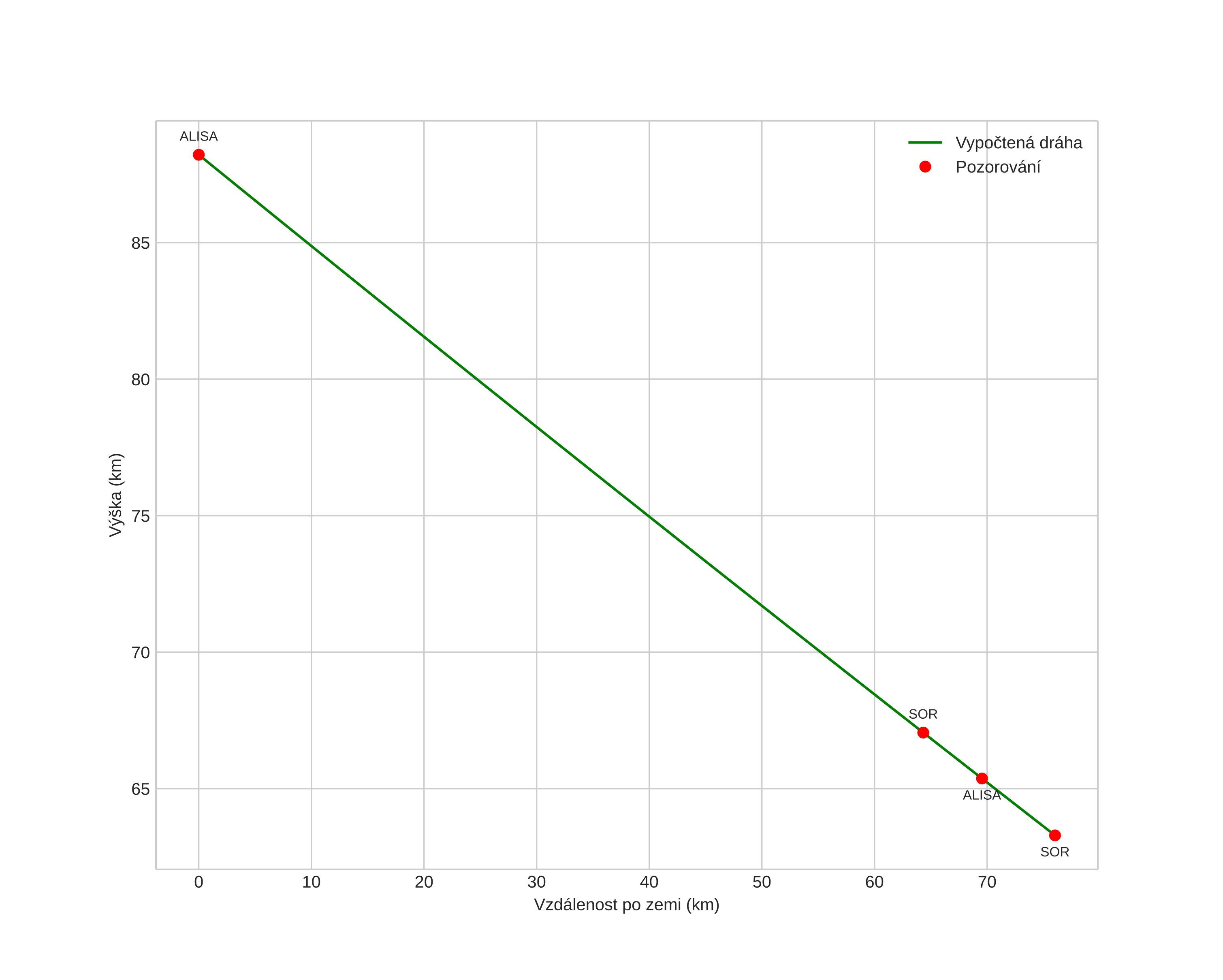
height profile
Atmosférická dráha meteoru:
Počáteční výška: 88,2 km
Konečná výška: 63,3 km
Počáteční poloha: 69,755N 19,031E
Konečná poloha: 69,560N 17,146E
Směr: 254,3°
Sklon: 18,1°
VstupnĂ­ rychlost: 26,1 km/s
Rektascenze radiantu: 04:52 (73,0°)
Deklinace radiantu: 18,6°
MeteorickĂ˝ roj: SevernĂ­ Tauridy
Elementy dráhy meteoroidu:
Vzdálenost v periheliu: 0,389 AU
Excentricita: 0,711
Sklon dráhy: 3,7°
Délka vzestupného uzlu: 60,1°
Argument perihelia: 117,2°
Střední anomálie: 329,7°
Epocha: 2018 NOV 22 16:51:05
orbit plot

NeinteraktivnĂ­ graf | InteraktivnĂ­ graf

position vs time
speed and acceleration