🇳🇴 🇬🇧 🇩🇪 🇨🇿 🇫🇮

Meteor über Brøstadbotn 2018-11-22 16:51:05 UTC

KML-Datei  |  Interaktive Karte

Die Karte zeigt die Peilungen für den Meteor. Die helleren Linien zeigen die Richtungen von den Beobachtungsorten beim Erscheinen des Meteors, und die dunkleren Linien, wo er zuletzt gesehen wurde. Der blaue Pfeil zeigt die sichtbare Bahn des Meteors.

static map
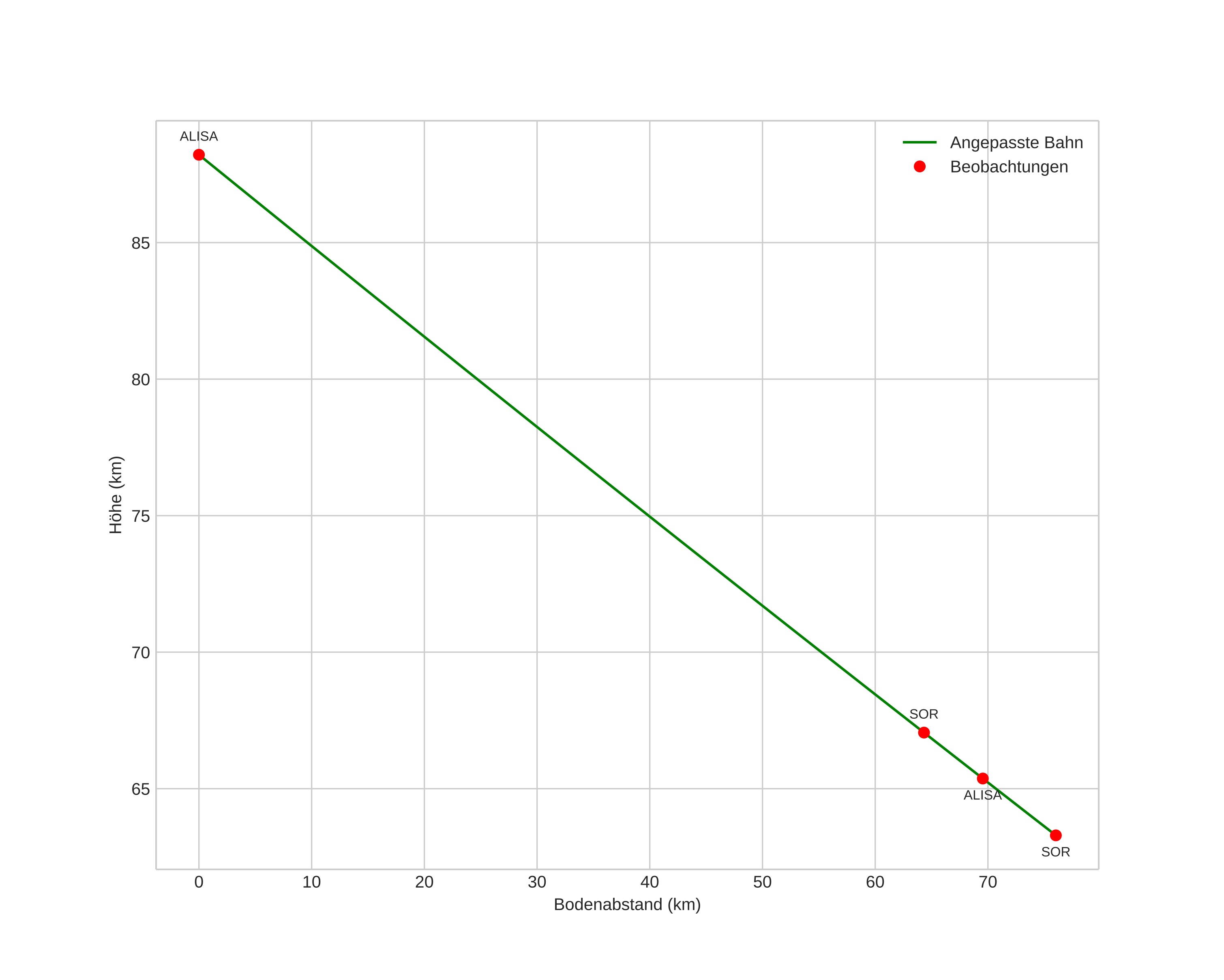
height profile
Atmosphärische Bahn des Meteors:
Anfangshöhe: 88,2 km
Endhöhe: 63,3 km
Startposition: 69,755N 19,031E
Endposition: 69,560N 17,146E
Richtung: 254,3°
Neigungswinkel: 18,1°
Eintrittsgeschwindigkeit: 26,1 km/s
Rektaszension des Radianten: 04:52 (73,0°)
Deklination des Radianten: 18,6°
Meteorstrom: Nördliche Tauriden
Bahnelemente des Meteoroiden:
Periheldistanz: 0,389 AU
Exzentrizität: 0,711
Inklination: 3,7°
Länge des aufsteigenden Knotens: 60,1°
Argument des Perihels: 117,2°
Mittlere Anomalie: 329,7°
Epoche: 2018 NOV 22 16:51:05
orbit plot

Nicht-interaktives Diagramm | Interaktives Diagramm

position vs time
speed and acceleration