🇳🇴 🇬🇧 🇩🇪 🇨🇿 🇫🇮

Meteor, poloha: Vinstra 2018-12-05 03:18:09 UTC

Soubor KML  |  InteraktivnĂ­ mapa

Mapa zobrazuje dráhy meteoru. Světlejší čáry ukazují směry od pozorovacích stanic při objevení se meteoru a tmavší čáry, kde byl naposledy viděn. Modrá šipka značí viditelnou dráhu meteoru.

static map
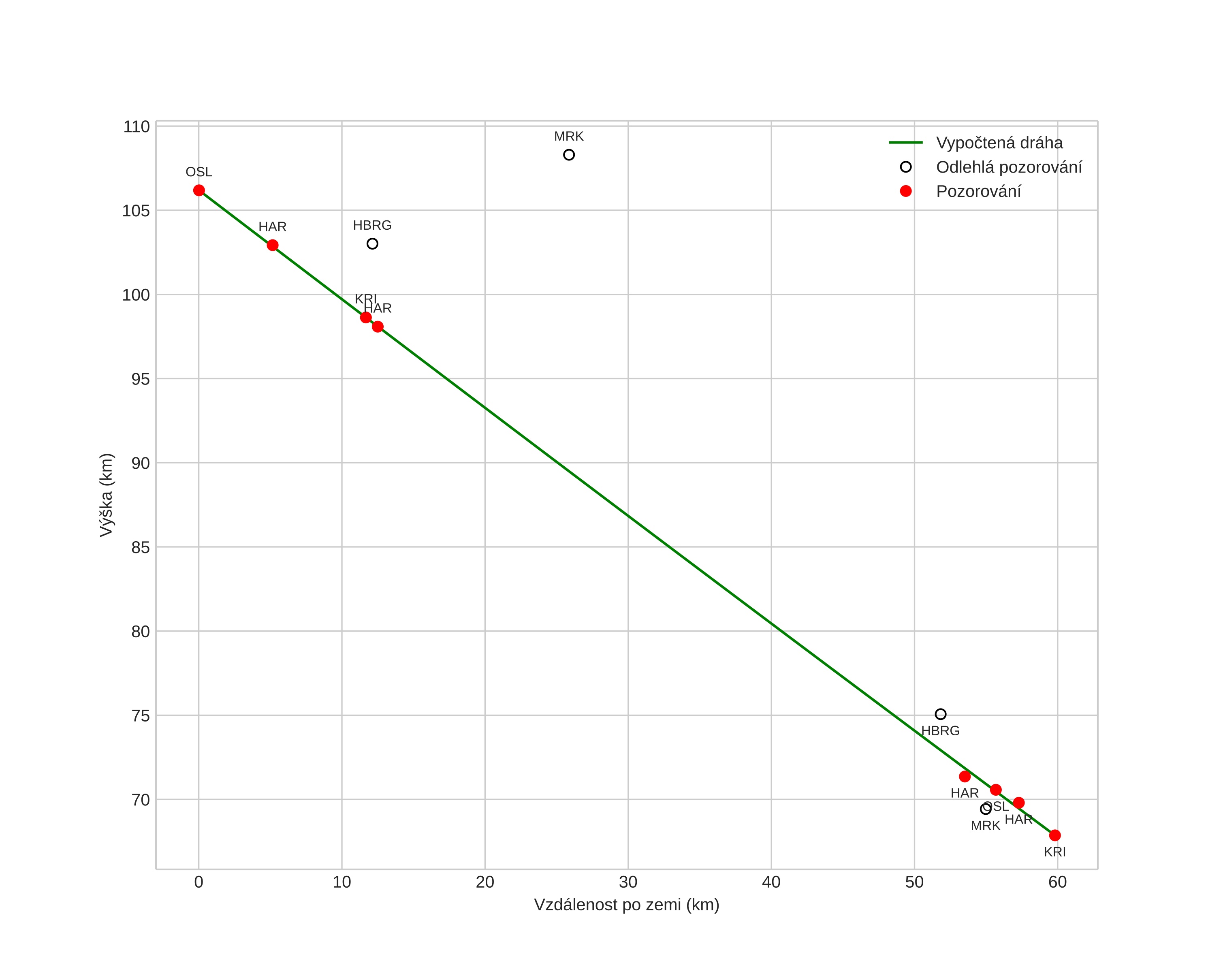
height profile
Atmosférická dráha meteoru:
Počáteční výška: 102,4 km
Konečná výška: 70,3 km
Počáteční poloha: 60,960N 9,522E
Konečná poloha: 61,354N 9,680E
Směr: 10,8°
Sklon: 35,7°
VstupnĂ­ rychlost: 64,2 km/s
Rektascenze radiantu: 08:14 (123,5°)
Deklinace radiantu: 6,6°
MeteorickĂ˝ roj: Sigma Hydridy
Elementy dráhy meteoroidu:
Vzdálenost v periheliu: 0,279 AU
Excentricita: 1,068
Sklon dráhy: 142,0°
Délka vzestupného uzlu: 72,7°
Argument perihelia: 112,8°
Střední anomálie: -4,0°
Epocha: 2018 DEC 05 03:18:09
orbit plot

NeinteraktivnĂ­ graf | InteraktivnĂ­ graf

position vs time
speed and acceleration