🇳🇴 🇬🇧 🇩🇪 🇨🇿 🇫🇮

Meteor Vinstran yllä 2018-12-05 03:18:09 UTC

KML-tiedosto  |  Interaktiivinen kartta

Kartta näyttää meteorin suuntahavainnot. Vaaleammat viivat näyttävät suunnat havaintoasemilta meteorin ilmestyessä, ja tummemmat viivat näyttävät, missä se viimeksi nähtiin. Sininen nuoli näyttää meteorin näkyvän lennon.

static map
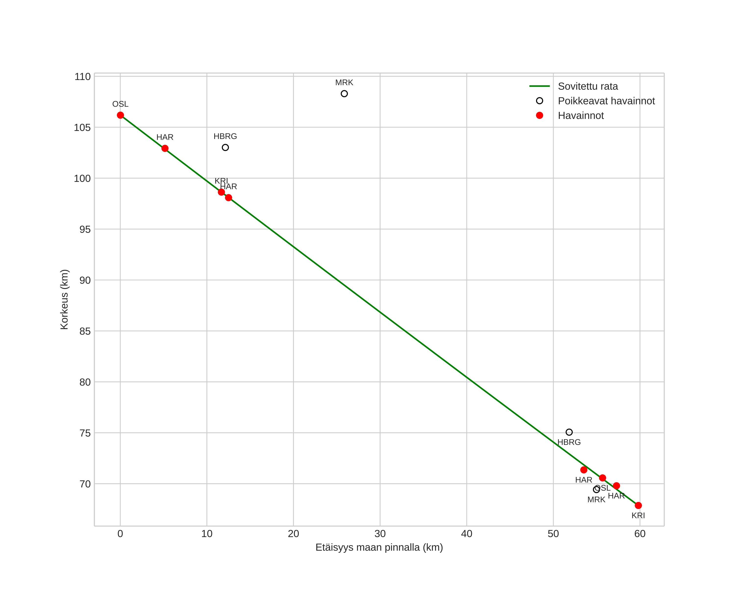
height profile
Meteorin ilmakehärata:
Alkukorkeus: 102,4 km
Loppukorkeus: 70,3 km
Alkupiste: 60,960N 9,522E
Loppupiste: 61,354N 9,680E
Suunta: 10,8°
Kallistuskulma: 35,7°
Tulonopeus: 64,2 km/s
Radiantin R,A,: 08:14 (123,5°)
Radiantin Dekl,: 6,6°
Meteoriparvi: Sigma-hydridit
Meteoroidin rataelementit:
Perihelietäisyys: 0,279 AU
Eksentrisyys: 1,068
Inklinaatio: 142,0°
Nousevan solmun pituus: 72,7°
Perihelin argumentti: 112,8°
Keskianomalia: -4,0°
Epookki: 2018 DEC 05 03:18:09
orbit plot

Ei-interaktiivinen kuvaaja | Interaktiivinen kuvaaja

position vs time
speed and acceleration