🇳🇴 🇬🇧 🇩🇪 🇨🇿 🇫🇮

Meteor over Överkalix 2018-12-08 03:12:33 UTC

KML-fil  |  Interaktivt kart

Kartet viser peilingene for meteoren. De lysere linjene viser retningene fra observasjonsstedene for meteorens tilsynekomst, og de mørkere linjene viser hvor den sist kunne sees. Den blå pila viser meteorens synlige ferd.

static map
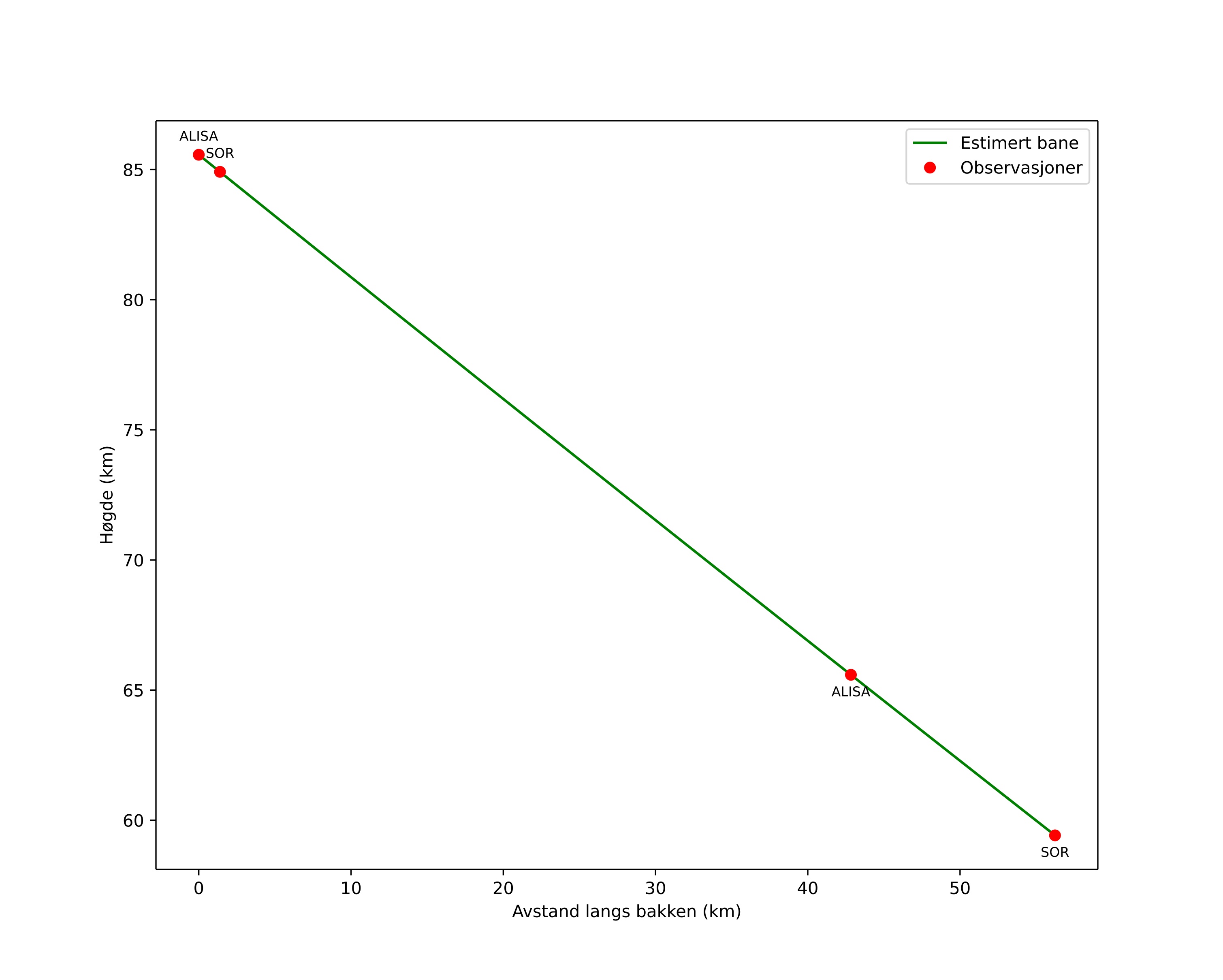
height profile
Meteorens atmosfæriske bane:
Starthøgde: 83,8 km
Slutthøgde: 59,1 km
Startposisjon: 66,345N 22,627E
Sluttposisjon: 66,811N 22,895E
Retning: 12,7°
Fallvinkel: 24,9°
Inngangshastighet: 60,4 km/s
Radiantens rektascensjon: 09:02 (135,5°)
Radiantens deklinasjon: 1,2°
Meteorsverm: sporadisk
Meteoroidens baneelement:
Perihelavstand: 0,392 AU
Eksentrisitet: 0,820
Inklinasjon: 142,9°
Knutelengde: 75,7°
Perihelargument: 109,6°
Midlere anomali: 346,9°
Epoke: 2018 DEC 08 03:12:33
orbit plot

Ikke-interaktivt plott | Interaktivt plott

position vs time
speed and acceleration

Sorreisa (SOR) cam1


gnomonic
Videoer
• Gnomonisk
• Gnomonisk med koordinater
• Original
• Original med koordinater
Bilder
• Gnomonisk
• Gnomonisk med koordinater
• Ukorrigert gnomonisk med koordinater
• Gnomonisk med annotering
• Ukorrigert gnomonisk med annotering
• Original
• Original med koordinater
• Original med maske
Tekstfiler
• Deteksjon
• Observasjon
• Koordinater
• Feilmeldinger
• Logg
Lysstyrke