🇳🇴 🇬🇧 🇩🇪 🇨🇿 🇫🇮

Meteor, poloha: Ă–verkalix 2018-12-08 03:12:33 UTC

Soubor KML  |  InteraktivnĂ­ mapa

Mapa zobrazuje dráhy meteoru. Světlejší čáry ukazují směry od pozorovacích stanic při objevení se meteoru a tmavší čáry, kde byl naposledy viděn. Modrá šipka značí viditelnou dráhu meteoru.

static map
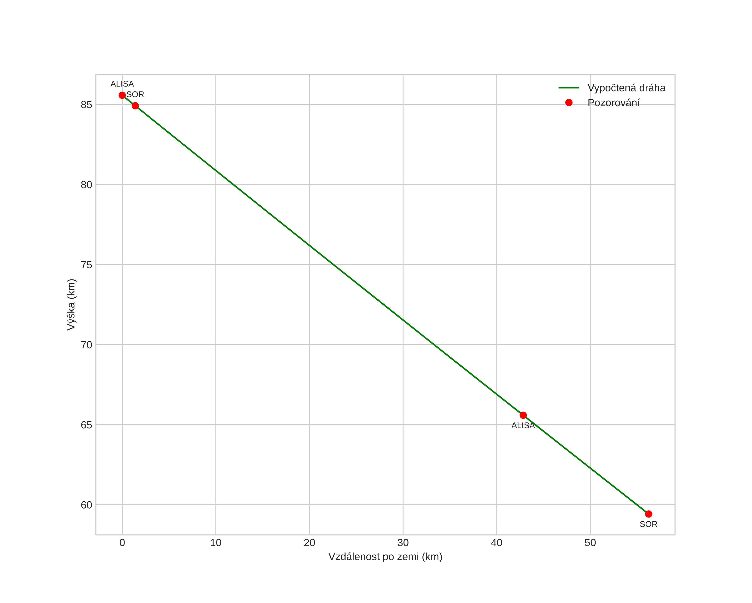
height profile
Atmosférická dráha meteoru:
Počáteční výška: 83,8 km
Konečná výška: 59,1 km
Počáteční poloha: 66,345N 22,627E
Konečná poloha: 66,811N 22,895E
Směr: 12,7°
Sklon: 24,9°
VstupnĂ­ rychlost: 60,4 km/s
Rektascenze radiantu: 09:02 (135,5°)
Deklinace radiantu: 1,2°
MeteorickĂ˝ roj: sporadickĂ˝
Elementy dráhy meteoroidu:
Vzdálenost v periheliu: 0,392 AU
Excentricita: 0,820
Sklon dráhy: 142,9°
Délka vzestupného uzlu: 75,7°
Argument perihelia: 109,6°
Střední anomálie: 346,9°
Epocha: 2018 DEC 08 03:12:33
orbit plot

NeinteraktivnĂ­ graf | InteraktivnĂ­ graf

position vs time
speed and acceleration