🇳🇴 🇬🇧 🇩🇪 🇨🇿 🇫🇮

Meteor Överkalixin yllä 2018-12-08 03:12:33 UTC

KML-tiedosto  |  Interaktiivinen kartta

Kartta näyttää meteorin suuntahavainnot. Vaaleammat viivat näyttävät suunnat havaintoasemilta meteorin ilmestyessä, ja tummemmat viivat näyttävät, missä se viimeksi nähtiin. Sininen nuoli näyttää meteorin näkyvän lennon.

static map
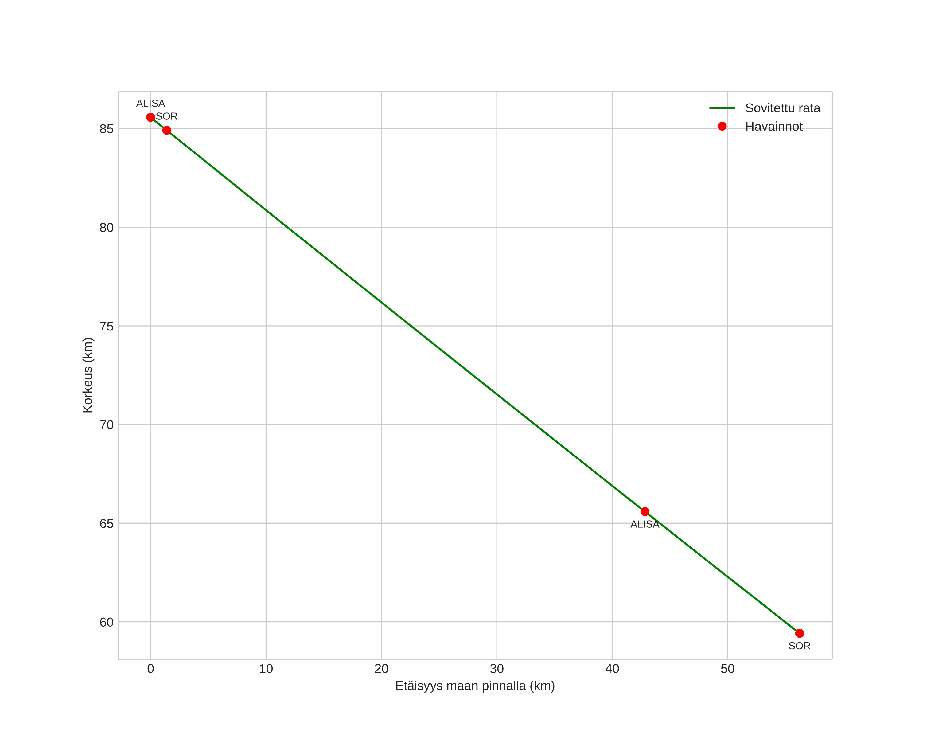
height profile
Meteorin ilmakehärata:
Alkukorkeus: 83,8 km
Loppukorkeus: 59,1 km
Alkupiste: 66,345N 22,627E
Loppupiste: 66,811N 22,895E
Suunta: 12,7°
Kallistuskulma: 24,9°
Tulonopeus: 60,4 km/s
Radiantin R,A,: 09:02 (135,5°)
Radiantin Dekl,: 1,2°
Meteoriparvi: Sporadinen
Meteoroidin rataelementit:
Perihelietäisyys: 0,392 AU
Eksentrisyys: 0,820
Inklinaatio: 142,9°
Nousevan solmun pituus: 75,7°
Perihelin argumentti: 109,6°
Keskianomalia: 346,9°
Epookki: 2018 DEC 08 03:12:33
orbit plot

Ei-interaktiivinen kuvaaja | Interaktiivinen kuvaaja

position vs time
speed and acceleration