🇳🇴 🇬🇧 🇩🇪 🇨🇿 🇫🇮

Meteor, poloha: Sandvika 2018-12-10 18:04:40 UTC

Soubor KML  |  InteraktivnĂ­ mapa

Mapa zobrazuje dráhy meteoru. Světlejší čáry ukazují směry od pozorovacích stanic při objevení se meteoru a tmavší čáry, kde byl naposledy viděn. Modrá šipka značí viditelnou dráhu meteoru.

static map
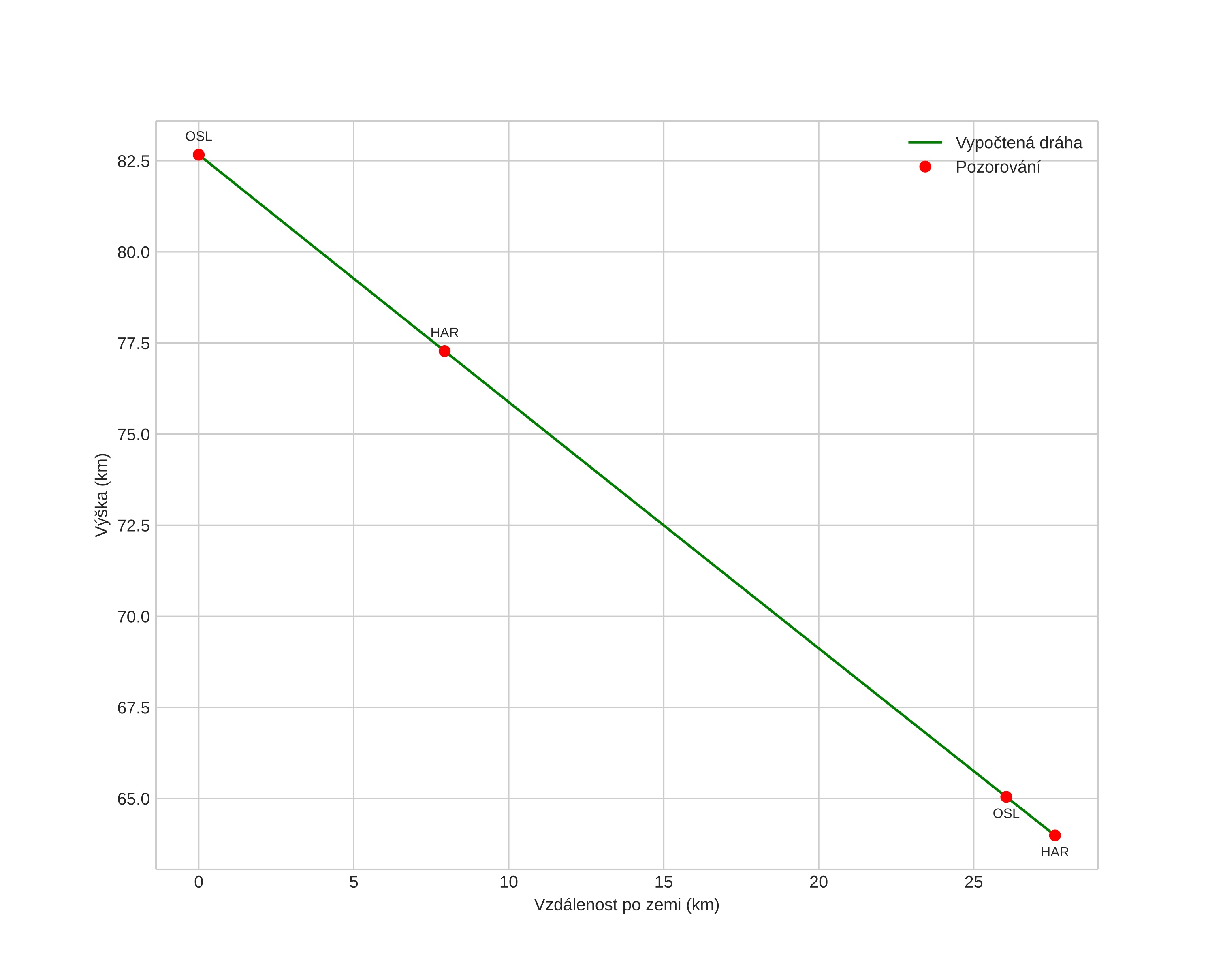
height profile
Atmosférická dráha meteoru:
Počáteční výška: 82,9 km
Konečná výška: 64,5 km
Počáteční poloha: 59,715N 10,798E
Konečná poloha: 59,936N 10,573E
Směr: 333,0°
Sklon: 33,6°
VstupnĂ­ rychlost: 14,3 km/s
Rektascenze radiantu: 01:42 (25,7°)
Deklinace radiantu: -7,8°
MeteorickĂ˝ roj: sporadickĂ˝
Elementy dráhy meteoroidu:
Vzdálenost v periheliu: 0,964 AU
Excentricita: 0,596
Sklon dráhy: 4,0°
Délka vzestupného uzlu: 78,4°
Argument perihelia: 19,4°
Střední anomálie: 356,0°
Epocha: 2018 DEC 10 18:04:40
orbit plot

NeinteraktivnĂ­ graf | InteraktivnĂ­ graf

position vs time
speed and acceleration