🇳🇴 🇬🇧 🇩🇪 🇨🇿 🇫🇮

Meteor Sandvikan yllä 2018-12-10 18:04:40 UTC

KML-tiedosto  |  Interaktiivinen kartta

Kartta näyttää meteorin suuntahavainnot. Vaaleammat viivat näyttävät suunnat havaintoasemilta meteorin ilmestyessä, ja tummemmat viivat näyttävät, missä se viimeksi nähtiin. Sininen nuoli näyttää meteorin näkyvän lennon.

static map
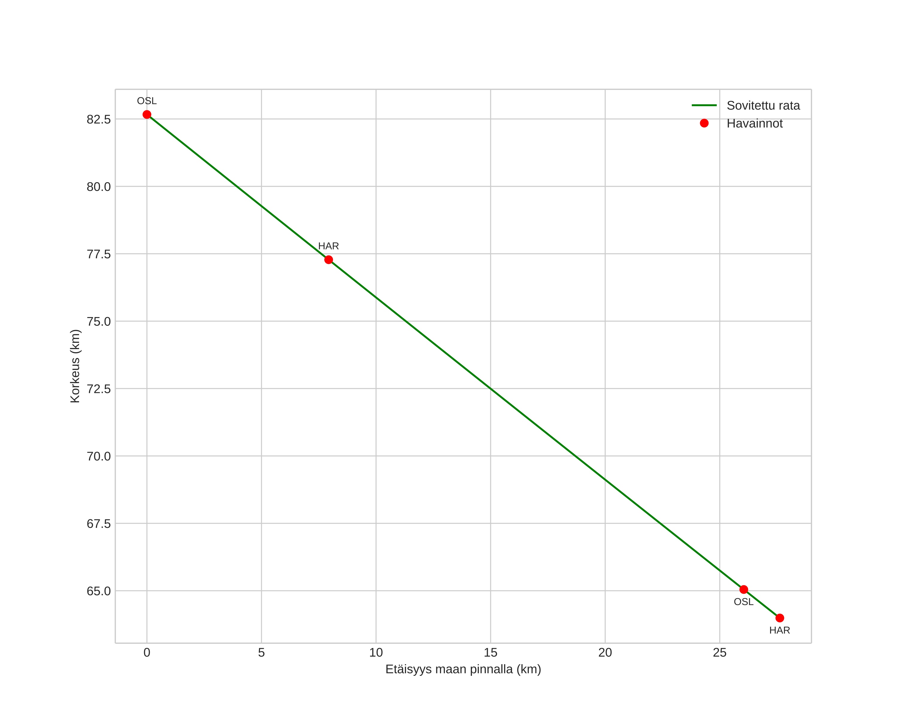
height profile
Meteorin ilmakehärata:
Alkukorkeus: 82,9 km
Loppukorkeus: 64,5 km
Alkupiste: 59,715N 10,798E
Loppupiste: 59,936N 10,573E
Suunta: 333,0°
Kallistuskulma: 33,6°
Tulonopeus: 14,3 km/s
Radiantin R,A,: 01:42 (25,7°)
Radiantin Dekl,: -7,8°
Meteoriparvi: Sporadinen
Meteoroidin rataelementit:
Perihelietäisyys: 0,964 AU
Eksentrisyys: 0,596
Inklinaatio: 4,0°
Nousevan solmun pituus: 78,4°
Perihelin argumentti: 19,4°
Keskianomalia: 356,0°
Epookki: 2018 DEC 10 18:04:40
orbit plot

Ei-interaktiivinen kuvaaja | Interaktiivinen kuvaaja

position vs time
speed and acceleration