🇳🇴 🇬🇧 🇩🇪 🇨🇿 🇫🇮

Meteor, poloha: Moelv 2018-12-11 01:30:02 UTC

Soubor KML  |  InteraktivnĂ­ mapa

Mapa zobrazuje dráhy meteoru. Světlejší čáry ukazují směry od pozorovacích stanic při objevení se meteoru a tmavší čáry, kde byl naposledy viděn. Modrá šipka značí viditelnou dráhu meteoru.

static map
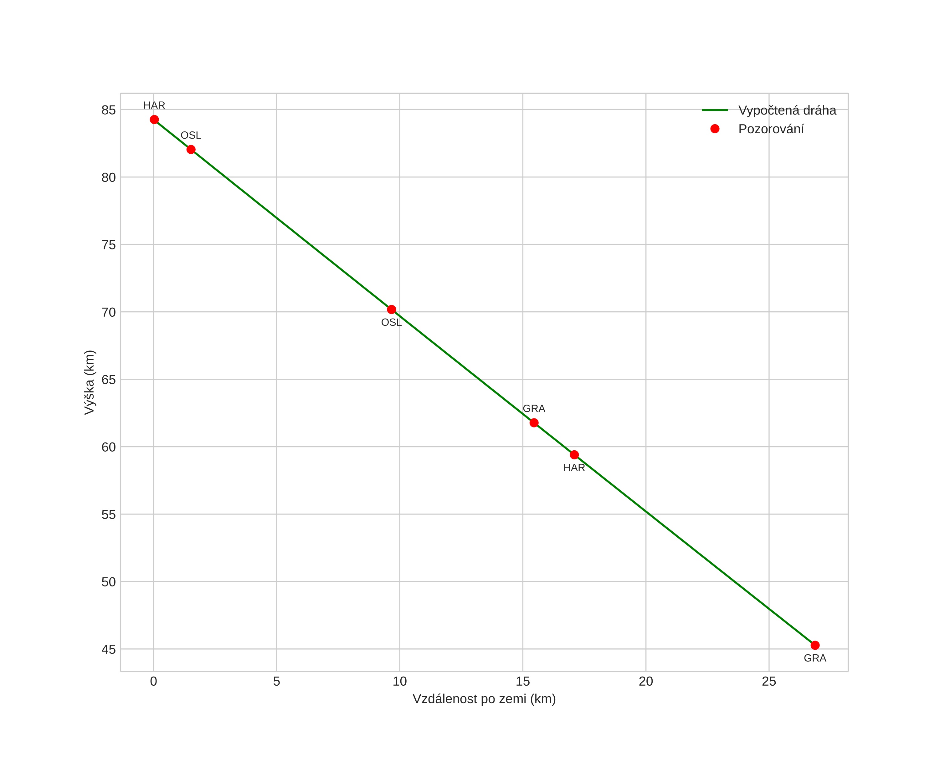
height profile
Atmosférická dráha meteoru:
Počáteční výška: 93,2 km
Konečná výška: 45,4 km
Počáteční poloha: 61,016N 10,835E
Konečná poloha: 61,211N 10,848E
Směr: 1,9°
Sklon: 65,6°
VstupnĂ­ rychlost: 34,1 km/s
Rektascenze radiantu: 07:24 (111,2°)
Deklinace radiantu: 35,8°
MeteorickĂ˝ roj: Geminidy
Elementy dráhy meteoroidu:
Vzdálenost v periheliu: 0,169 AU
Excentricita: 0,857
Sklon dráhy: 26,7°
Délka vzestupného uzlu: 258,7°
Argument perihelia: 322,7°
Střední anomálie: 329,2°
Epocha: 2018 DEC 11 01:30:02
orbit plot

NeinteraktivnĂ­ graf | InteraktivnĂ­ graf

position vs time
speed and acceleration