🇳🇴 🇬🇧 🇩🇪 🇨🇿 🇫🇮

Meteor Moelvin yllä 2018-12-11 01:30:02 UTC

KML-tiedosto  |  Interaktiivinen kartta

Kartta näyttää meteorin suuntahavainnot. Vaaleammat viivat näyttävät suunnat havaintoasemilta meteorin ilmestyessä, ja tummemmat viivat näyttävät, missä se viimeksi nähtiin. Sininen nuoli näyttää meteorin näkyvän lennon.

static map
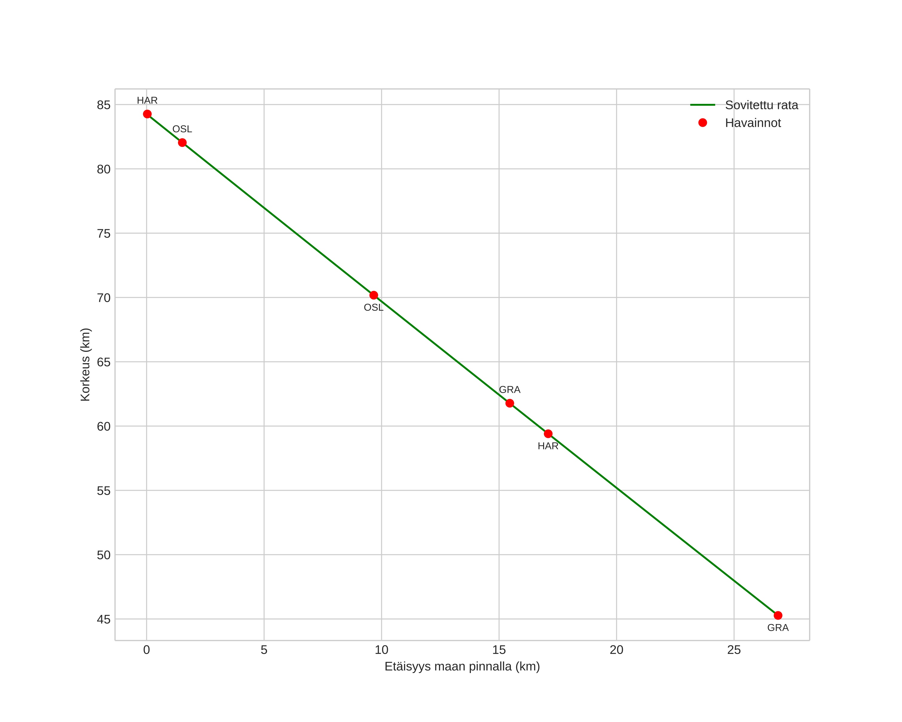
height profile
Meteorin ilmakehärata:
Alkukorkeus: 93,2 km
Loppukorkeus: 45,4 km
Alkupiste: 61,016N 10,835E
Loppupiste: 61,211N 10,848E
Suunta: 1,9°
Kallistuskulma: 65,6°
Tulonopeus: 34,1 km/s
Radiantin R,A,: 07:24 (111,2°)
Radiantin Dekl,: 35,8°
Meteoriparvi: Geminidit
Meteoroidin rataelementit:
Perihelietäisyys: 0,169 AU
Eksentrisyys: 0,857
Inklinaatio: 26,7°
Nousevan solmun pituus: 258,7°
Perihelin argumentti: 322,7°
Keskianomalia: 329,2°
Epookki: 2018 DEC 11 01:30:02
orbit plot

Ei-interaktiivinen kuvaaja | Interaktiivinen kuvaaja

position vs time
speed and acceleration