🇳🇴 🇬🇧 🇩🇪 🇨🇿 🇫🇮

Meteor, poloha: Elverum 2018-12-12 01:02:05 UTC

Soubor KML  |  InteraktivnĂ­ mapa

Mapa zobrazuje dráhy meteoru. Světlejší čáry ukazují směry od pozorovacích stanic při objevení se meteoru a tmavší čáry, kde byl naposledy viděn. Modrá šipka značí viditelnou dráhu meteoru.

static map
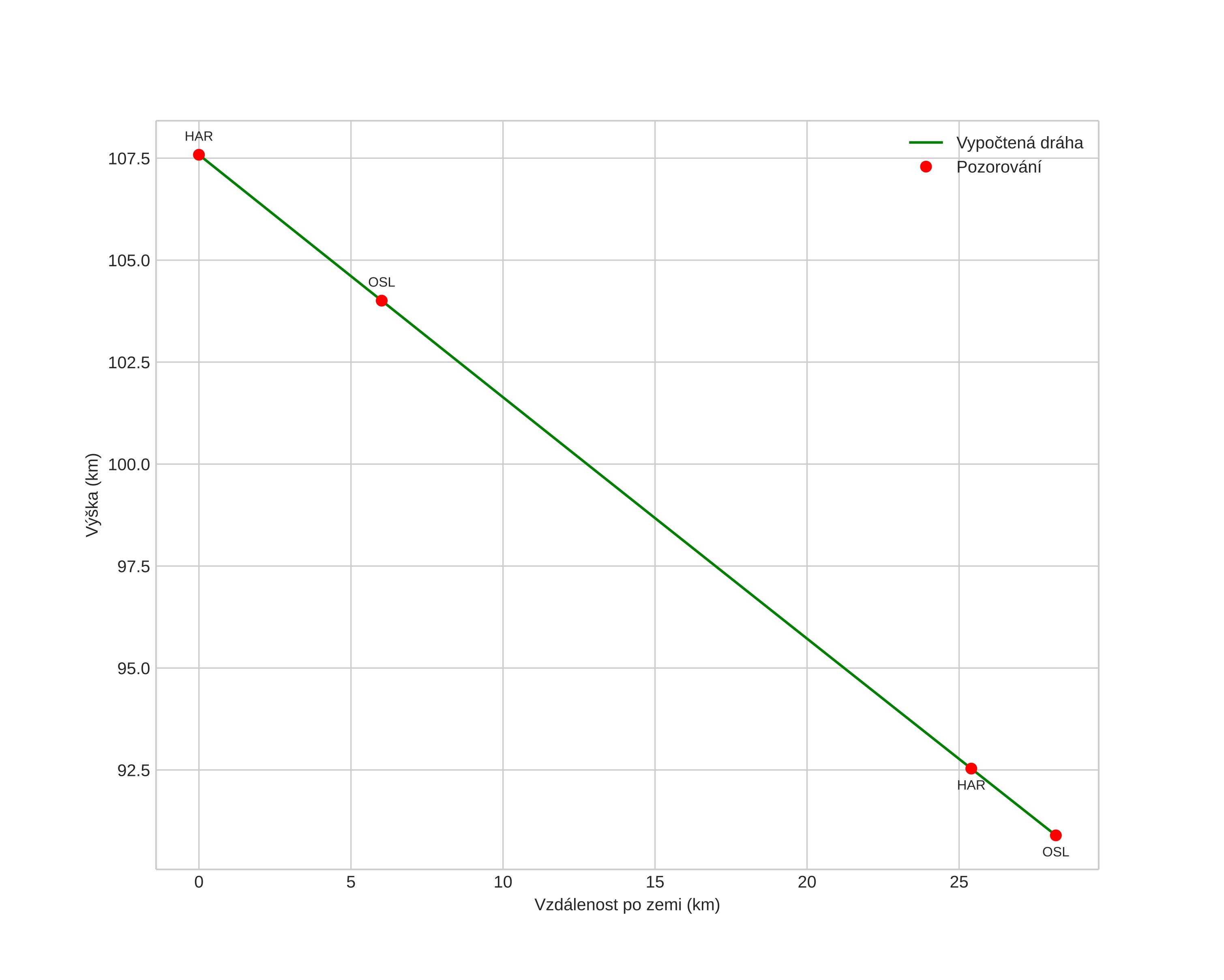
height profile
Atmosférická dráha meteoru:
Počáteční výška: 93,8 km
Konečná výška: 82,1 km
Počáteční poloha: 60,611N 11,241E
Konečná poloha: 60,790N 11,486E
Směr: 33,7°
Sklon: 26,1°
VstupnĂ­ rychlost: 25,4 km/s
Rektascenze radiantu: 05:03 (75,8°)
Deklinace radiantu: -2,8°
MeteorickĂ˝ roj: sporadickĂ˝
Elementy dráhy meteoroidu:
Vzdálenost v periheliu: 0,681 AU
Excentricita: 0,821
Sklon dráhy: 17,0°
Délka vzestupného uzlu: 79,7°
Argument perihelia: 71,6°
Střední anomálie: 354,7°
Epocha: 2018 DEC 12 01:02:05
orbit plot

NeinteraktivnĂ­ graf | InteraktivnĂ­ graf

position vs time
speed and acceleration