🇳🇴 🇬🇧 🇩🇪 🇨🇿 🇫🇮

Meteor Elverumin yllä 2018-12-12 01:02:05 UTC

KML-tiedosto  |  Interaktiivinen kartta

Kartta näyttää meteorin suuntahavainnot. Vaaleammat viivat näyttävät suunnat havaintoasemilta meteorin ilmestyessä, ja tummemmat viivat näyttävät, missä se viimeksi nähtiin. Sininen nuoli näyttää meteorin näkyvän lennon.

static map
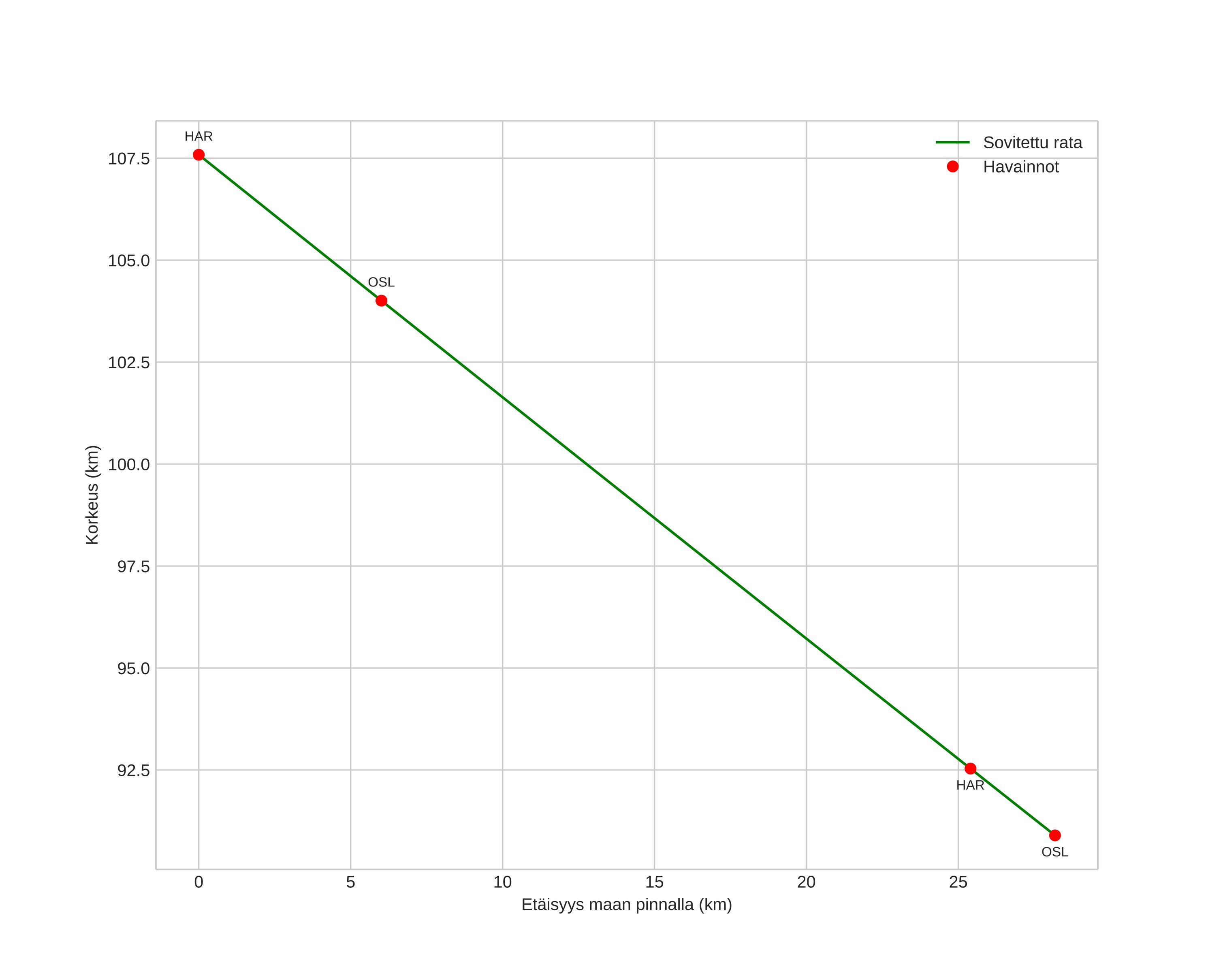
height profile
Meteorin ilmakehärata:
Alkukorkeus: 93,8 km
Loppukorkeus: 82,1 km
Alkupiste: 60,611N 11,241E
Loppupiste: 60,790N 11,486E
Suunta: 33,7°
Kallistuskulma: 26,1°
Tulonopeus: 25,4 km/s
Radiantin R,A,: 05:03 (75,8°)
Radiantin Dekl,: -2,8°
Meteoriparvi: Sporadinen
Meteoroidin rataelementit:
Perihelietäisyys: 0,681 AU
Eksentrisyys: 0,821
Inklinaatio: 17,0°
Nousevan solmun pituus: 79,7°
Perihelin argumentti: 71,6°
Keskianomalia: 354,7°
Epookki: 2018 DEC 12 01:02:05
orbit plot

Ei-interaktiivinen kuvaaja | Interaktiivinen kuvaaja

position vs time
speed and acceleration