🇳🇴 🇬🇧 🇩🇪 🇨🇿 🇫🇮

Meteor over Storslett 2018-12-12 22:48:27 UTC

KML-fil  |  Interaktivt kart

Kartet viser peilingene for meteoren. De lysere linjene viser retningene fra observasjonsstedene for meteorens tilsynekomst, og de mørkere linjene viser hvor den sist kunne sees. Den blå pila viser meteorens synlige ferd.

static map
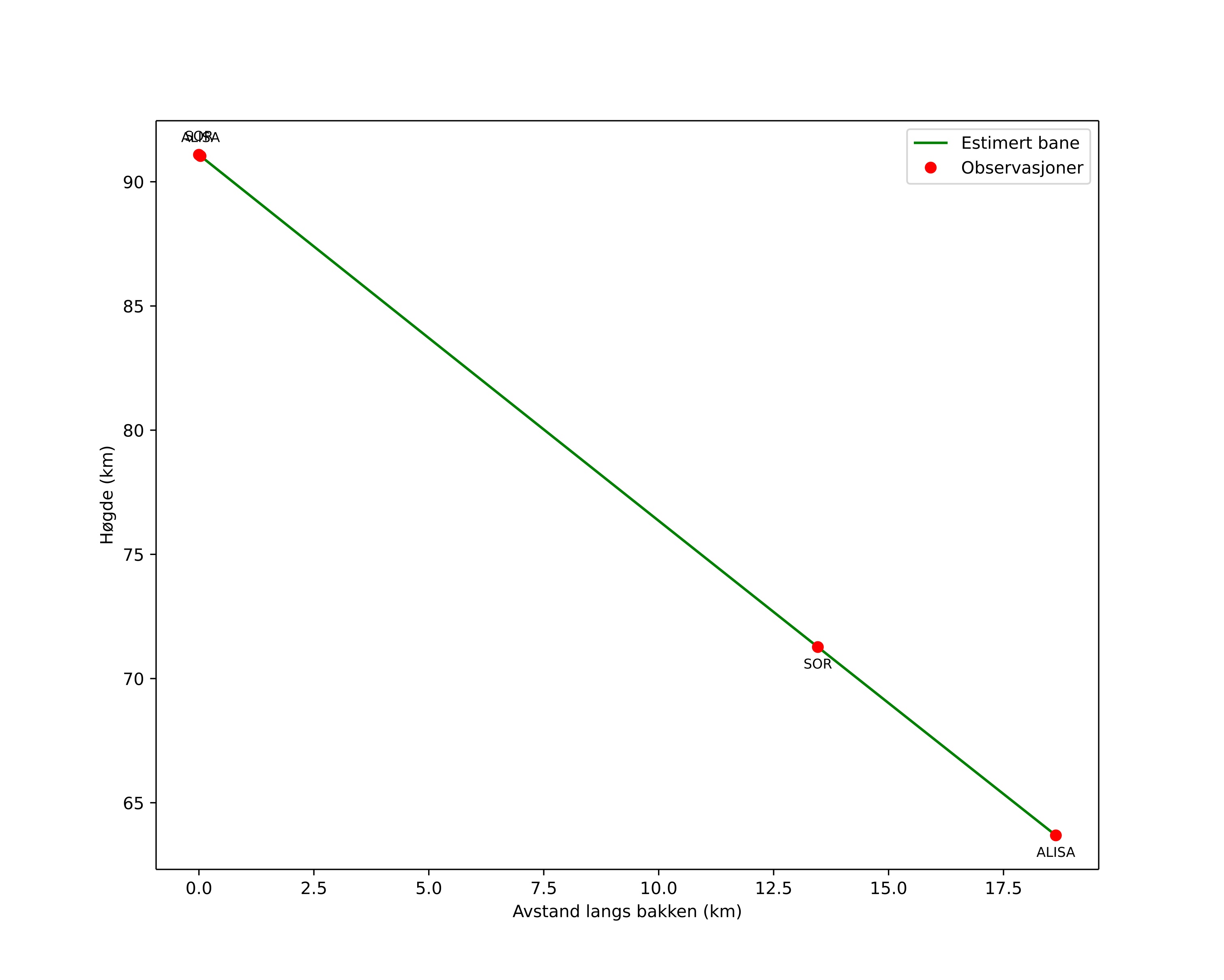
height profile
Meteorens atmosfæriske bane:
Starthøgde: 97,2 km
Slutthøgde: 64,0 km
Startposisjon: 69,007N 21,643E
Sluttposisjon: 68,818N 21,424E
Retning: 202,8°
Fallvinkel: 55,6°
Inngangshastighet: 34,8 km/s
Radiantens rektascensjon: 14:33 (218,3°)
Radiantens deklinasjon: 72,6°
Meteorsverm: sporadisk
Meteoroidens baneelement:
Perihelavstand: 0,956 AU
Eksentrisitet: 0,647
Inklinasjon: 55,5°
Knutelengde: 260,6°
Perihelargument: 202,0°
Midlere anomali: 356,3°
Epoke: 2018 DEC 12 22:48:27
orbit plot

Ikke-interaktivt plott | Interaktivt plott

position vs time
speed and acceleration

Sorreisa (SOR) cam2


gnomonic
Videoer
• Gnomonisk
• Gnomonisk med koordinater
• Original
• Original med koordinater
Bilder
• Gnomonisk
• Gnomonisk med koordinater
• Ukorrigert gnomonisk med koordinater
• Gnomonisk med annotering
• Ukorrigert gnomonisk med annotering
• Original
• Original med koordinater
• Original med maske
Tekstfiler
• Deteksjon
• Observasjon
• Koordinater
• Feilmeldinger
• Logg
Lysstyrke